网站首页  词典首页


请输入您要查询的字词:

 

字词 利谷隆
类别 中英文字词句释义及详细解析
释义

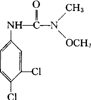
利谷隆linuron

选择性芽前、芽后脲类除草剂,商品名Lorox、Afalon、Prefalon。化学结构式:

1960年杜邦(Du Pont)公司和赫司特(Hoechst)公司首先开发。
性能 纯品为白色结晶,熔点93~94℃。24℃时蒸气压为1.99×10-3帕。24℃时在水中溶解度为81毫克/升; 易溶于丙酮,中等溶于乙醇、芳烃,难溶于脂肪烃。在熔点下和水中都是稳定的。遇酸、碱、在潮湿土壤中或在高温下都会分解。无腐蚀性。原药纯度≥94%。低毒。大白鼠急性口服LD50为4000毫克/千克,狗急性口服LD50为500毫克/千克。兔急性经皮LD50>5000毫克/千克。在豚鼠皮肤上用10%水悬浮液处理引起轻微至中等程度的刺激,无过敏反应。两年饲喂试验,每千克饲料对大白鼠和狗无作用。剂量为125毫克/千克; 8天饲喂试验: 每千克饲料绿头鸭LC50为3083毫克/千克; 日本鹌鹑LC50>5000毫克/千克; 96小时喂养试验,蓝鳃太阳鱼和虹鳟鱼的LC50为16毫克/升。具有内吸和触杀作用,主要通过杂草的根部吸收,也可被叶片吸收。抑制杂草的光合作用,使杂草饥饿而死。对杂草种子萌发没影响,只有当杂草种子内的养料耗尽后,幼苗才死。土壤中残效期100~120天。
应用 制剂为50%可湿性粉剂。用于大豆、玉米、高粱、棉花、马铃薯、胡萝卜、芹菜、水稻、小麦、花生、甘蔗、果树、葡萄以及苗圃等地,防治稗草、牛筋草、狗尾草、马唐、蓼、藜、马齿苋、鬼针草、苋菜、猪殃殃、眼子菜、豚草等。大豆、玉米、高粱地,每公顷用50%可湿性粉剂2250~3000克进行苗前土壤处理; 或用1200克加1500克48%拉索乳油喷雾土壤处理; 也可与杜耳、毒草胺混用; 大豆田还可与氟乐灵混用土壤处理。大豆田使用,要求播种深度为4~5厘米,过浅易产生药害。棉田使用,每公顷用50%可湿性粉剂1875~2250克进行播后苗前土壤处理,过量,易产生药害。冬小麦田使用,播后苗前每公顷用1500~1950克喷雾土壤处理。水稻田,每公顷用1200~1500克防治眼子菜。苗后茎叶处理,药液中加入0.6%表面活性剂,喷药位置不得超过作物高度的1/3,防止药液落到作物叶面上产生药害。土壤有机质含量低于1%或高于5%的田块不宜使用;砂性重,雨水多的地区不宜使用。敏感作物有甜菜、向日葵、甘蓝、莴苣、甜瓜、小萝卜、烟草、茄子、辣椒等。喷雾器具使用后要清洗干净。

利谷隆linuron

取代脲类选择性除草剂。化学名称为3-(3,4-二氯苯基)-1-甲氧基-1-甲基脲。化学结构式如下。纯品为白色结晶固体,熔点93~94℃,24℃时蒸气压为2×10-3Pa,微溶于水及脂肪烃,易溶于丙酮、乙醇、苯、甲苯、二甲苯等有机溶剂。在溶点下和溶液中稳定,在酸、碱及潮湿土壤中缓慢分解。芽前或芽后除草剂,具有内吸和触杀作用,主要通过杂草根部吸收,叶、茎吸收较少。在含叶绿素部分,抑制杂草的光合作用,阻碍希尔反应,破坏碳水化合物的形成,使植物饥饿致死。主要用于玉米、棉花、大豆、冬麦、高粱、花生、马铃薯、甘蔗、菜豆、豌豆等以及果园防除稗草、马唐、狗尾草、看麦娘、野燕麦、鸭跖草、铁苋菜、马齿苋及藜等一年生单子叶和阔叶杂草。对人、畜低毒,大鼠急性口服LD50为4 000 mg/kg,对鱼类低毒。

随便看

 

离鸟网收录3541549条中英文词条,其功能与新华字典、现代汉语词典、牛津高阶英汉词典等各类中英文词典类似,基本涵盖了全部常用中英文字词句的读音、释义及用法,是语言学习和写作的有利工具。

 

Copyright © 2004-2024 vtrois.com All Rights Reserved
更新时间:2026/4/21 21:13:35