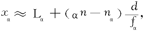
分位数随机变量的一种位置特征数。α分位数常记为xα,其中0<α<1。若随机变量X是连续型的,F(x)是它的分布函数,则F(xα)=α。在样本中也常用x(r)作为样本的α分位数,其中r=[nα]+1,而[nα]表示不超过nα的最大整数;如果观察值已经分组列成频数分布表时,则其近似计算公式为:  其中Lα是α分位数所在组的下限,nα是小于α分位数所在组下限的各组的频数之和,d是α分位数所在组的区间长度,fα是α分位数所在组的频数。常被应用于测验分析统计中。分位数统计总体各单位按其在某一标志上数值的大小顺序排列,并分为若干相等部分时,在各个分界点上的变量值。如分为两个相等部分,位居中点的变量值,称为中位数。 分位数 分位数统计总体单位按其在某一标志上数值的大小顺序排列,并分为若干相等部分时,在各个分界点上的变量值。如分为两个相等部分,则位居中点的变量值,亦称为中位数。如分为四个相等部分,则位居四分之一、四分之二、四分之三各点上的变量值,称为四分位数。其他如十分位数,百分位数等,均可依此类推。它用以研究统计总体单位在某一数量标志上的分布情况。 ☚ 中位数 分组表 ☛ 00003885 |