网站首页  词典首页


请输入您要查询的字词:

 

字词 冯·诺依曼模型
类别 中英文字词句释义及详细解析
释义
冯·诺依曼模型

冯·诺依曼模型Von Neumann model

冯·诺依曼在1945年提出一个多部门经济均衡增长模型。设经济社会有n种财货和m个可能利用的生产过程。第j个生产过程在期初投入n种财货量为(alj,…,anj),在期末产出量为(bij,…,bnj),j=1,2,…,m。假设生产过程是规模报酬不变的,且每一种财货都可能生产出来。记第i种财货的价格为pi,第j个生产过程的活动水平为xj
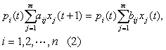
考虑动态过程,即价格和水平均为时间t的函数。设在第t期末的全部产出均作为t+1初的投入,这样在t+1期初每一种财货的投入量就不能超过t期末的产出量,故有

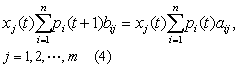
当在(1)中的第i个式子为严格不等式时,即存在供给大于需求时,则第i种财货是自由财货,这时设它的价格pi=0。从而,对(1)式不管是等式或严格不等式都可推出下等式

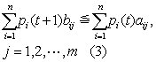
又因为在均衡时,每一个生产过程都不能产生正的利润,故有

当(3)中第j个式子为严格不等式时,则第j个过程产生负利润,这时就不采用它,即设xj=0。从而对(3),不管它是等式或严格不等式,都可推出下等式

以上四个式子合称诺依曼模型。在满足(1)-(4)的解中具有如下两个性质的x(t)和p(t)称为均衡增长解:

xj(t+1)=(1+λ)xj(t)


j=1,2,…,m (5)


pi(t+1)=(1+ρ)-1pi(t)


i=1,2,…,n (6)

其中λ>0称为增长率,ρ>0称为利率。
在假设(a)aij≧0,bij≧0,(b)每一个投入向量中至少有一个分量为正,(c)每一种财货均可由某一过程生产出来之下,均衡增长解必存在。
☚ 新古典派总体增长模型   大道定理 ☛
00000699
随便看

 

离鸟网收录3541549条中英文词条,其功能与新华字典、现代汉语词典、牛津高阶英汉词典等各类中英文词典类似,基本涵盖了全部常用中英文字词句的读音、释义及用法,是语言学习和写作的有利工具。

 

Copyright © 2004-2024 vtrois.com All Rights Reserved
更新时间:2026/4/18 22:44:08