网站首页  词典首页


请输入您要查询的字词:

 

字词 克百威
类别 中英文字词句释义及详细解析
释义

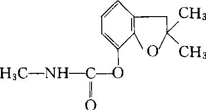
克百威carbofuran

高效高毒的氨基甲酸酯杀虫、杀线虫剂。商品名呋喃丹(Furadan)、大扶农(Diafuran)。化学结构式:

1965年美国FMC公司首次介绍其药效,1967年被推荐使用,1980年在中国注册登记。
性质 纯品为白色结晶,无臭味,熔点153~154℃,33℃时蒸气压为 2.67×10-3帕,密度(20℃)1.180,25℃时在水中溶解度为700微克/千克,在苯中为4%,在乙腈中为14%,在丙酮中为15%,在二氯甲烷中为12%,在环己酮中为9%,乙醇为4%,二甲砜25%,二甲基甲酰胺27%,N-甲基吡咯烷酮30%,二甲苯和石油醚<1%。在碱性介质中不稳定,不易燃,但可点燃,无腐蚀作用。工业品为淡黄褐色,有效成分含量为90~95%,熔点147~155℃,有微弱的酯类气味。对人、畜高毒,大鼠急性经口LD50为8~14毫克/千克,狗LD50为19毫克/千克,家兔急性经皮LD50>10200毫克/千克,对眼睛和皮肤无刺激作用。在试验剂量内无致畸、致突变、致癌作用,在三代繁殖试验和神经毒性试验中未见异常,两年饲养试验无作用剂量小鼠为25毫克/千克,狗为20毫克/千克。对鱼类毒性较高,对蜜蜂安全。杀虫谱广兼有杀线虫作用。具有内吸、触杀和胃毒作用。主要从植物根部吸收传导到植物各器官,以叶部积累较多,特别是叶缘。在果实中含量极少,在土壤中半衰期为30~60天。其作用机制为抑制胆碱酯酶,但与其他氨基甲酸酯杀虫剂不同的是,其与胆碱酯酶的结合不可逆,因此毒性甚高。
应用 由于高毒,一般只加工成颗粒剂或种衣剂作土壤或种子处理使用。不作喷洒使用。常用于水稻田防治稻螟、稻飞虱、稻蓟马、稻叶蝉、稻瘿蚊;用于棉田防治棉蚜、棉蓟马、地老虎及线虫; 用于烟草苗床和本田可防治烟草夜蛾、烟蚜、烟草根结线虫、烟草潜叶蛾及地下害虫; 用于甘蔗田可防治蔗螟、金针虫、甘蔗绵蚜、甘蔗蓟马及甘蔗线虫等; 用于大豆和花生田可防治大豆蚜、大豆潜秆蝇及大豆孢囊线虫,花生蚜、斜纹夜蛾及根结线虫。

克百威carbofuran

又名呋喃丹、furadan。一种高毒农药。化学名称:2,3-二氢-2,2-二甲基-7-苯并呋喃基-甲基氨基甲酸酯。化学结构式如下。纯品白色结晶,溶点153~154℃,工业品浅灰色、熔点150~152℃。密度(d2025) 1.180,33℃蒸气压266.6×10-5Pa。25℃时溶解度在水中0.07%,苯4%,乙醇4%,丙酮 15%,二 甲亚砜25%,二甲基甲酰胺27%,N-甲基吡咯烷酮30%,二甲苯和石油醚<1%,在常用溶剂中溶解度低,因此不能配制乳油。急性口服毒性LD50大鼠为11 mg/kg,经皮毒性(兔)LD50为10 200mg/kg、鱼毒LC50虹鳟为0.2 mg/L、鳟0.28 mg/kg,对鱼类剧毒。制成颗粒剂,土壤处理和种子处理,每公顷使用3%颗粒剂15~22.5 kg,可以防治水稻稻飞虱、稻瘿蚊、稻蓟马等,每公顷用3%颗粒剂随棉籽播种可以防治棉蚜保苗40天以上。

随便看

 

离鸟网收录3541549条中英文词条,其功能与新华字典、现代汉语词典、牛津高阶英汉词典等各类中英文词典类似,基本涵盖了全部常用中英文字词句的读音、释义及用法,是语言学习和写作的有利工具。

 

Copyright © 2004-2024 vtrois.com All Rights Reserved
更新时间:2026/4/18 23:14:45