网站首页  词典首页


请输入您要查询的字词:

 

字词 光的色散
类别 中英文字词句释义及详细解析
释义
光的色散

光的色散guang de sesan

复色光分解为单色光而形成光谱的现象。色散可以利用棱镜,光栅或干涉仪等色散系统来实现。复色光进入棱镜后,由于它对不同频率的光有不同的折射率,因而折射角不同,离开棱镜时就各自分散,形成色散。复色光通过光栅或干涉仪时,由于光的衍射和干涉作用,也能使各种单色光分散开来。广义上说,色散不仅指光波按频率的分散,任何物理量只要随频率而变,都称色散。例如旋光色散,是指振动面旋转的角度随频率而变。光的色散的研究始于1666年I.牛顿用棱镜形成太阳光谱。对棱镜的色散是研究得最多的。常用的光学玻璃,其折射率随光的频率的增大(波长的减小)而增大,如紫光的折射率较红光的为大。这种色散称为正常色散。描述正常色散的公式是A.L.柯西在1836年给出的:n(λ)=A十B/λ2+C/λ4。这是一个实验规律,称柯西公式,其中常量A、B、C由实验测定。一般取两项就足够准确了,n(λ)=A+B/λ2。为表征媒质折射率随波长的变化程度,引入色散率p,或称媒质的色散,由柯西公式得,dn/dλ=-2B/λ4 ,正常色散满足dn/dλ<0。但1860年F.P.勒鲁在用充满碘蒸气的三棱镜观察折射现象时,发现红光比紫光的折射率大。这种dn/dλ>0的色散现象称反常色散。反常色散与媒质对光的选择吸收性有密切联系;而正常色散与媒质对光的一般吸收性有密切联系。一般媒质的折射率与入射光圆频率ω关系如图1。包括若干个正常色散区与反常色散区,各与光的一般吸收区、选择吸收区相符合。
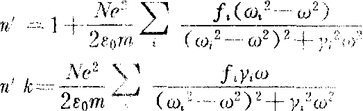
根据经典电子论可以说明这些联系。按照洛伦兹理论,媒质的折射率是复数n=n1(1+ik),其中

式中m与e分别为电子质量与电荷;γi为衰减系数;N为单位体积媒质所含分子的数目;fi是振子强度,ωi是媒质分子的固有吸收频率(吸收带的中心),同一媒质可能有几个ωi值。n′代表媒质色散,n′k代表吸收曲线,如图2。γ值一般很小,在入射光频ω远离ωi时,表现为正常色散,在ω接近ωi时,表现为反常色散。揭示出反常色散与光的吸收之间的密切联系,是经典电子论的重要成果。


图 1


A—一般吸收区及正常色散区 B—选择吸收区及反常色散区

☚ 比尔定律   正常色散 ☛
光的色散

光的色散Guang de sesan

把复色光分解成单色光而形成光谱的现象。太阳光、日光灯发出的光等称为复色光或白光。复色光内包含有各种颜色的光。利用三棱镜可以将复色光内不同颜色的光分开。让一束白光穿过狭缝,射到一个玻璃三棱镜上,由于棱镜对不同频率(不同颜(色)的光具有不同的折射率,频率越小,折射率也越小,因此不同频率的光经过棱镜后的偏向角δ也不同,如图所示。这样白光经棱镜折射以后在屏上形成一条彩色的光带,称为光谱。红光的频率最小,折射率最小,所以折射角最大,从而偏向角δ最小,这样它在光谱中处在靠近棱镜顶角的一端;紫光的频率最大,折射率最大,所以折射角最小,从而偏向角δ最大,这样它在光谱中处在靠近棱镜底边的一端。颜色的排列从靠近棱镜顶角的一端到靠近底边的一端依次是:红、橙、黄、绿、蓝、靛、紫。每种颜色对应一定范围的频率或波长(见“颜色”)。有些光的光谱的颜色是连续变化的,各颜色之间没有明显的界线,这样的光谱称为连续光谱。如太阳光的光谱。有些光的光谱是由一些分立的谱线组成的,这样的光谱称为分立光谱或线光谱。如汞灯的光谱。

各色光的频率和波长的大致范围

颜色频率 (赫兹) (Hz)波长 (在真空中)
(埃) ()



绿
蓝、靛
3.9×1014-4.8×1014
4.8×1014-5.0×1014
5.0×1014-5.2×1014
5.2×1014-6.1×1014
6.1×1014-6.6×1014
6.6×1014-7.7×1014
7 700—6 220
6 220—5 970
5 970—5 770
5 770—4 920
4 920—4 550
4 550—3 900

☚ 颜色   虹和霓 ☛
00001495
随便看

 

离鸟网收录3541549条中英文词条,其功能与新华字典、现代汉语词典、牛津高阶英汉词典等各类中英文词典类似,基本涵盖了全部常用中英文字词句的读音、释义及用法,是语言学习和写作的有利工具。

 

Copyright © 2004-2024 vtrois.com All Rights Reserved
更新时间:2026/4/21 0:38:03