网站首页  词典首页


请输入您要查询的字词:

 

字词 偏差系数
类别 中英文字词句释义及详细解析
释义

偏差系数piān chā xì shùкоэффициéнт отклонéния

偏差系数

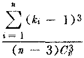
又称“偏态系数”。用来反映随机系列各变量对称于均值位置出现可能性大小的统计参数。以Cs表示。计算公式为:Cs=式中Cs为年径流偏差系数;Ki为某年年径流模比系数。当Cs=0时,为正态分布,即对称于均值的各随机变量都一一相等;当Cs>0时,为正偏分布,即小于均值的随机变量比大于均值的出现机会多,水文系列大多属正偏分布;当Cs<0时,为负偏分布,与正偏相反。

随便看

 

离鸟网收录3541549条中英文词条,其功能与新华字典、现代汉语词典、牛津高阶英汉词典等各类中英文词典类似,基本涵盖了全部常用中英文字词句的读音、释义及用法,是语言学习和写作的有利工具。

 

Copyright © 2004-2024 vtrois.com All Rights Reserved
更新时间:2026/4/19 0:23:11