倒数方程daoshu fangcheng
若一个一元n次方程
a0xn+a1xn-1+…+an-1x+an=0 (1)
的系数满足关系a
k=a
n-k或a
k=-a
n-k(k为非负整数,0≤k≤n/2)时,则方程(1)称作倒数方程.
显然,倒数方程的根不可能是零.
若a是倒数方程的根,则1/a也必定是这个倒数方程的根.例如,倒数方程4x
4-9x
3-26x
2-9x+4=0的一个根是4,可以验证,1/4是方程的另一个根.倒数方程也正是由其根的这一性质而得名.
当a
k=a
n-k时,方程(1)称为第一类型倒数方程.
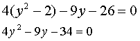
对于n=2m的第一类型倒数方程,若作x+1/x=y的替换,则可将原方程化成一个关于y的m次方程,达到降次的目的.
例 解方程4x
4-9x
3-26x
2-9x+4=0 (2)
解 把原方程变形为
4(x4+1)-9(x3+x)-26x2=0
因 x≠0故用x
2除方程两边得






对于n=2m+1的第一类型倒数方程,方程总有一个根是-1.若用(x+1)除方程(1),则可得出一个次数为2m的第一类型倒数方程.
例如,用综合除法可将方程
4x5-5x4-35x3-35x2-5x+4=0
化为
(x+1)(4x4-9x3-26x2-9x+4)=0
由x+1=0 得x=-1.而方程
4x4-9x3-26x2-9x+4=0
正是形如前面解过的方程(2).
当a
k=-a
n-k时,方程(1)称作第二类型倒数方程.
对于n=2m的第二类型倒数方程,方程总有一个根是1,另一个根是-1.
对于n=2m+1的第二类型倒数方程,方程总有一个根为1.