网站首页  词典首页


请输入您要查询的字词:

 

字词 保险业务的财务稳定性
类别 中英文字词句释义及详细解析
释义

保险业务的财务稳定性

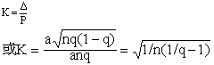
表示保险企业承保业务实际发生的赔款支出超过或不超过收入净保费的可靠程度。通常用指标K来表示,其公式为:
式中,△为保险赔偿基金 (或纯保险费)的均方差; P为保险赔偿基金 (或纯保险费); a为每件保险标的的保险金额; n为保险标的件数; q为损失概率 (或纯保费率)。指标K越大,业务的财务稳定性越低; 反之,K越小,业务的财务稳定性越高。例如: K=0. 4,其负偏差为0. 4的一半,表示每五年中有一年保费入不敷出;K=0. 1,其负偏差为0. 05或1/20,表示每20年中有超出的部分。

保险业务的财务稳定性

保险业务的财务稳定性financial stability of insurance business

表示保险企业承保业务实际发生的赔款支出超过或不超过收入净保费的可靠程度。通常用指标K来表示,其公式为:

式中,△为保险赔偿基金(或纯保险费)的均方差;P为保险赔偿基金(或纯保险费);a为每件保险标的的保险金额;n为保险标的件数;q为损失概率(或纯保费率)。指标K越大,业务的财务稳定性越低;反之,K越小,业务的财务稳定性越高。例如:K=0.4,其负偏差为0.4的一半,表示每五年中有一年保费入不敷出;K=0.1,其负偏差为0.05或1/20,表示每20年中有一年保费人不敷出。
☚ 保险财务管理   保险经济效益 ☛
00007325
随便看

 

离鸟网收录3541549条中英文词条,其功能与新华字典、现代汉语词典、牛津高阶英汉词典等各类中英文词典类似,基本涵盖了全部常用中英文字词句的读音、释义及用法,是语言学习和写作的有利工具。

 

Copyright © 2004-2024 vtrois.com All Rights Reserved
更新时间:2026/4/21 3:40:55