网站首页  词典首页


请输入您要查询的字词:

 

字词 佩尔方程
类别 中英文字词句释义及详细解析
释义
佩尔方程

佩尔方程peier fangcheng

二次不定方程:x2-dy2=±1 (d>0,d不是平方数).对于佩尔方程求解的问题,一般说已经解决了.华罗庚著《数论导引》(科学出版社,1957)和柯名、孙琦合著《谈谈不定方程》(上海教育出版社,1980)两书有系统而完整的论述。
关于佩尔方程x2-dy2=1的解,有下述结果:
此不定方程有无穷多组整数解.设x20-dy20=1,且x0>0,y0>0是所有满足x>0,y>0的解中使x+最小的那组解,则不定方程的全部整数解x,y可由公式x+y=±(x0+y0)n,n=0,±1,±2,…表出.其中x0,y0叫做此不定方程的基本解.
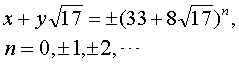
例如,解不定方程x2-17y2=1.先用试验法来求基本解.令y=1,2,3,…,依次计算17y2+1,直到17y2+1的值是一个平方数为止.经过计算知,使17y2+1是平方数的最小的y值是y=8.这时17y2+1=1089=332.由此可知,x0=33,y0=8就是所求的基本解.原方程的全部整数解可以表成

根据这个公式,分别令n=1,2,3可以得到这个不定方程的三组正整数解(33,8),(2177,528),(143649,34840).
用试验法寻求基本解,有时计算十分冗长,例如不定方程x2-46y2=1的基本解是x0=24335,y0=3588.求基本解的一般方法是,把展成简单连分数.对于d<100的情形,还有人把基本解做成表,以备查用(参看Beiler,A.H,Recreations in the theory ofnumbers,New york,1964,第254页).
关于佩尔方程x2-dy2=-1,则不一定有整数解.例如,x2-3y2=-1就没有整数解.因为x2≡0,1(mod4)时,x2-3y2≡x2+y2≡0,1,2 (mod4),而不同余于-1 (mod4),因此它不可能有解.上例还提示,若d≡3(mod4),则x2-dy2=-1,一定没有整数解.但对此佩尔方程有下述一般结果,即若其有整数解,并设u20-dv20=-1,u0>0,v0>0是所有x>0,y>0的解中,使x+y最小的那组解(称为这个不定方程的基本解)则此佩尔方程的全部解可以表成

n = 0,±1 ,±2,…

并且基本解u0,v0与x2-dy2=1的基本解x0,y0之间有下述关系:


关于不定方程x2-dy2=Q,其中d>0不是平方数,Q是非零整数,与佩尔方程有密切联系.但其解法比较复杂. 它的具体解法可以参看上述华、柯两书,还可以参看数学通报1989年第9期的“不定方程x(x-1) =D y (y-1) 的解法”.
☚ 多元一次不定方程   勾股弦数 ☛
00013883
随便看

 

离鸟网收录3541549条中英文词条,其功能与新华字典、现代汉语词典、牛津高阶英汉词典等各类中英文词典类似,基本涵盖了全部常用中英文字词句的读音、释义及用法,是语言学习和写作的有利工具。

 

Copyright © 2004-2024 vtrois.com All Rights Reserved
更新时间:2026/4/18 14:52:37