网站首页  词典首页


请输入您要查询的字词:

 

字词 会圆术
类别 中英文字词句释义及详细解析
释义

会圆术

 北宋著名科学家沈括所创。涉及到这样一个数学问题。即已知圆的直径和弓形的高(矢),求弓形的底(弦)和弓形的弧。计算方法可以用下列公式表示:


 其中c为弓形的底,d为圆的直径,b为弓形的高,a为弧的长度。
 沈括“会圆术”的计算方法虽然还只是一近似公式,却在我国历史上首先提出了弧线与直线的关系,成为十三世纪郭守敬创造“授时历,发展球面三角学的基础。
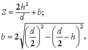
会圆术

063 会圆术

北宋数学家沈括提出的根据弓形的高h和所在圆的直径d求弓形弧长S和底b的方法。沈括给出的公式是:

沈括的求弓形弧长的近似公式虽不够精确,但却较为简便实用。在王恂、郭守敬关于“授时历”的推算中得到了应用,并启发他们提出了由太阳黄经求赤经和赤纬的新方法。

☚ 沈括公式   贾宪三角 ☛
00007926
随便看

 

离鸟网收录3541549条中英文词条,其功能与新华字典、现代汉语词典、牛津高阶英汉词典等各类中英文词典类似,基本涵盖了全部常用中英文字词句的读音、释义及用法,是语言学习和写作的有利工具。

 

Copyright © 2004-2024 vtrois.com All Rights Reserved
更新时间:2026/4/20 14:25:33