网站首页  词典首页


请输入您要查询的字词:

 

字词 P·C值(价)法
类别 中英文字词句释义及详细解析
释义 P·C值(价)法

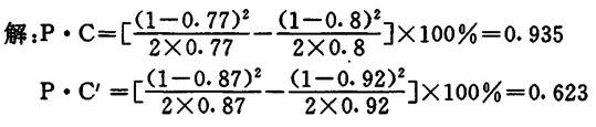
【说明】 使用白度降低或百分数表示纸浆返黄的程度虽然简单,但不能表明在返黄过程中有色物质产生的多少,这是因为浆料白度高的时候,数量相同的有色物所引起的白度降低要多。例如白度从80%降低到77%,3度(3%)降低所产生的有色物质却高于白度从92%降低到87%时5度(5%)降低所产生的有色物质。由于K/S与纸浆中有色物质的数量有直接的关系,所以采用纸浆老化前后K/S的差值说明返黄的程度比较真实,通常以P·C值表示。

【公式】

式中 K——纸浆对光的吸收系数

S——纸浆对光的散射系数

R∞1——纸浆老化前白度

R∞2——纸浆老化后白度

【例3】 分别计算纸浆白度由80%降低到77%和同由92%降低到87%时的返黄P·C价。

随便看

 

离鸟网收录3541549条中英文词条,其功能与新华字典、现代汉语词典、牛津高阶英汉词典等各类中英文词典类似,基本涵盖了全部常用中英文字词句的读音、释义及用法,是语言学习和写作的有利工具。

 

Copyright © 2004-2024 vtrois.com All Rights Reserved
更新时间:2026/4/19 19:59:23