| 释义 |
价格-消费曲线Price Consumption Curve反映消费者在收入保持不变而价格不同情况下消费量变化的曲线,即价格比率发生变化后各均衡点的轨迹。可用无差异曲线和预算约束线来说明消费曲线。 
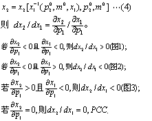
如图,L1、L2、L3、L4分别为在收入、商品Y的价格不变,X商品价格变化情况下产生的预算约束线,M1、M2、M3、M4为无差异曲线,P1、P2、P3、P4为L1M1、L2M2、L3M3、L4M4的切点,则由P1、P2、P3、P4连结而成的曲线P即为价格消费曲线。这一曲线说明商品价格变动时商品消费量的变化,显示了在收入不变情况下,随着一种商品价格的变动,消费者可消费的两种商品的各种均衡组合。价格-消费曲线 价格-消费曲线Price-Consumption Curve(PCC)描述在货币收入不变的条件下,某种商品价格变化所引起的消费均衡点运动的轨迹。图1属于正常情形。图2中商品1是吉芬商品,其需求量与价格正向变动,违背了需求规律。图3中两种商品为替代品。价格-消费曲线可以用来分析在收入不变的情况下,价格变化对消费均衡的影响,并且据此可以推导出需求价格曲线。设马歇尔需求函数如下: x1=x1(p1,p2,m) …(1) x2=x2(p1,p2,m) …(2)
在p 2和m不变的情况下,(记为p 20,m 0),由(1)式得到: 
其中,x 1-1(p 20,m 0,x 1)是x 1(p 1,p 20,m 0)的反函数。将(3)式代入(2)式有: 
为一条平行于x轴的直线。 (4)式就是价格-消费曲线的函数形式。 
图1 
图2 
图3 〖参〗收入-消费曲线 ☚ 收入-消费曲线 短期消费曲线 ☛ 00000286 |