网站首页  词典首页


请输入您要查询的字词:

 

字词 仲丁威
类别 中英文字词句释义及详细解析
释义

仲丁威BPMC

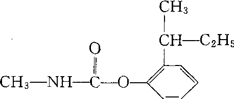
速效性极强、残效期短的取代苯类氨基甲酸酯杀虫剂。又称巴沙、扑杀威。化学结构式:

1963年德国拜耳公司(Bayer)首先推荐作为杀虫剂。
性能 纯品为无色结晶,熔点32℃,工业品熔点28.5~31℃,液态为淡蓝色或浅粉色,有芳香味。密度(d4 20)1 .050,沸点 112 ~113 ℃ ,25℃ 时蒸气压0 .533帕。20℃时在水中溶解度小于0.01克/升,丙酮中2000克/升,甲醇中1000克/升,苯中1000克/升。在碱性和强酸介质中不稳定,在弱酸介质中稳定,受热易分解。对高等动物低毒,大鼠急性经口LD50为410~635毫克/千克,大鼠急性经皮LD50 > 5000毫克/千克,对皮肤和眼睛刺激性很小。在试验剂量范围内,对动物无致突变、致畸、致癌作用。两年喂养试验,大鼠无作用剂量为5毫克/(千克·天),狗为11~15毫克/(千克·天),鸡未见迟发性神经毒性。对鱼低毒,鲤鱼TLm (48小时)为12.6毫克/千克。对昆虫有强烈触杀作用,兼有一定胃毒、熏蒸和杀卵作用。对飞虱、叶蝉类有特效,杀虫迅速,但残效短,一般只能维持4~5天。作用机制是抑制乙酰胆碱酯酶。
应用 在稻飞虱、稻蓟马、稻叶蝉发生初盛期喷雾或喷粉,在三化螟、稻纵卷叶螟卵孵化高峰期喷雾,防治效果很好。对卫生害虫,蚊、蝇也有良好防治效果。

仲丁威BPMC

又称Baycarb、Osbac、巴沙、扑杀威。化学名称为邻仲丁基苯基甲基氨基甲酸酯。化学结构式如下。纯品无色结晶,熔点31~32℃。技术级原药是淡黄或淡红色液体,熔点34.7℃,20℃时蒸气压为48 mPa,折光率1.514,密度1.035,溶解度水中610 mg/L(30℃),室温在丙酮、甲苯、苯、二甲苯中溶解度>1 kg/kg,在碱及浓酸中不稳定。使用2.5%乳油1∶500倍喷雾防治各种水稻害虫,如稻飞虱、稻叶蝉、稻蓟马及卵孵期的三化螟和稻纵卷叶螟。急性口服LD50大鼠(♂)为623.4mg/kg,♀为657.0 mg/kg,小鼠为340 mg/kg;经皮LD50大鼠>500mg/kg,兔10250 mg/kg,吸入毒性LC50>0.366 mg/L,鱼毒性属A级LC5048 h鲤16 mg/kg。两年饲喂试验无作用剂量,大鼠为5 mg/(kg·d),狗11~12 mg/(kg·d)。

随便看

 

离鸟网收录3541549条中英文词条,其功能与新华字典、现代汉语词典、牛津高阶英汉词典等各类中英文词典类似,基本涵盖了全部常用中英文字词句的读音、释义及用法,是语言学习和写作的有利工具。

 

Copyright © 2004-2024 vtrois.com All Rights Reserved
更新时间:2026/4/21 15:22:55