网站首页  词典首页


请输入您要查询的字词:

 

字词 代森锰锌
类别 中英文字词句释义及详细解析
释义

代森锰锌mancozeb

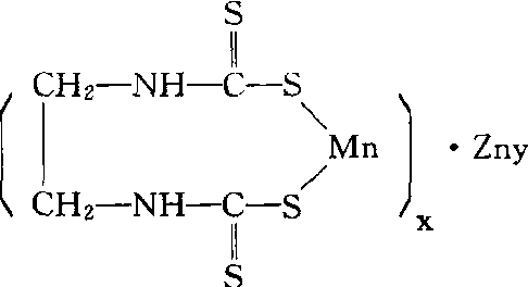
一种广谱、保护性的代森系有机硫杀菌剂,为代森锰和锌离子的配位络合物。商品名有: Dithane M-45、M anzate 200、Nemispor、Penncozeb、Policar MZ、Policar S、Vizeb、Vondozeb Plus、Ziman-Dithane等。化学结构式:

1961年美国罗门—哈斯(Rohm & Hass)公司开发。
性能 为灰黄色、无臭粉末。室温下无挥发性。闪点约137℃ 。熔点(136℃)前分解。35℃时,每月约失重0.18%。遇高温高湿及酸易分解。无腐蚀性,不溶于水和大多数有机溶剂。可与多数常用农药配伍,但会破坏某些乳油的乳化。毒性低,大鼠急性经口LD50>11200毫升/千克,急性经皮LD50>15000毫克/千克; 小鼠急性经口LD50>700毫克/千克。兔急性经口LD50>10000毫克/千克。对皮肤和粘膜有一定刺激性。对鱼有毒,鲤鱼TLm(48小时)4.0毫克/升。其防病种类与代森锌类同。另外对梨木虱若虫也有一定防效。对敏感作物的药害比代森锰轻。
应用 广泛用于各种作物。80%代森锰锌可湿性粉剂对水400~600倍喷雾,防治果树、蔬菜、烟草、甜菜、花生、橡胶等经济作物,花卉等的霜霉病、疫病、灰霉病、炭疽病、褐腐病、叶斑病、锈病等。按种子重量0.1~0.5%拌种,可防治禾谷类腥黑穗病以及棉花、向日葵、花生、麻和蔬菜苗期病害。商品还有多种复配制剂可供使用。如Karamate(与代森锌混配),Cuprocar(与王铜混配),Frugold(与硫磺混配),Tairel M(与Benalaxyl混配),Mancofol(与灭菌丹混配)等。

代森锰锌mancozeb

有机硫杀菌剂。化学名称:代森锰和锌离子的配位化合物。化学结构式如下。原药是灰黄色粉末,不溶于水及大多数有机溶剂,高温、高湿条件下不易分解。1961年由美国罗门—哈斯公司开发,广谱性保护杀菌剂,作为果树、蔬菜、大田作物的叶面喷洒,防治早疫病、晚疫病、锈病、霜霉病、炭疽病、黑星病、赤星病等各种病害。还可与内吸性杀菌剂混配如与甲霜灵混配为甲霜锰锌。大白鼠急性口服LD50(♂) 14 000 mg/kg、 (♀)12 000 mg/kg。 对植物安全,但夏季高温高湿时,在蔬菜幼苗期应慎重。对人的皮肤有刺激性。

随便看

 

离鸟网收录3541549条中英文词条,其功能与新华字典、现代汉语词典、牛津高阶英汉词典等各类中英文词典类似,基本涵盖了全部常用中英文字词句的读音、释义及用法,是语言学习和写作的有利工具。

 

Copyright © 2004-2024 vtrois.com All Rights Reserved
更新时间:2026/4/19 21:34:14