网站首页  词典首页


请输入您要查询的字词:

 

字词 人力资源当量
类别 中英文字词句释义及详细解析
释义

人力资源当量

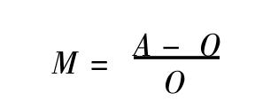
人力资源的适度数量。在一个一切因素都在变化的世界里,人力资源的适度数量不是静态的。随着关键因素,如自然资源、工业组织、生产要素、生产方法等的变化,适度数量也会变化。计算人力资源过剩或不足的公式为:

式中,M代表失调,A代表实际人力资源,O代表适度人力资源。失调是指与适度目标的偏离,它是两个变量,即适度人力资源和实际人力资源的函数。当M是正数时,表明人力资源过剩;M为负数时,表明人力资源不足;M为零时,表明既不存在人力资源过剩,也不存在人力资源不足,其实际人力资源等于适度人力资源。
随便看

 

离鸟网收录3541549条中英文词条,其功能与新华字典、现代汉语词典、牛津高阶英汉词典等各类中英文词典类似,基本涵盖了全部常用中英文字词句的读音、释义及用法,是语言学习和写作的有利工具。

 

Copyright © 2004-2024 vtrois.com All Rights Reserved
更新时间:2026/4/21 18:53:05