网站首页  词典首页


请输入您要查询的字词:

 

字词 交换帕累托最优性
类别 中英文字词句释义及详细解析
释义
交换帕累托最优性

交换帕累托最优性Pareto Optimality of Exchange

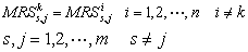
对一定量消费品的最佳分配。即在一定消费品总量条件下的一种分配,对于这种分配来说,进行任何可能的重新分配来增加一位或几位消费者效用的同时必将使至少一位消费者的效用减少。实现交换帕累托最优性的条件可由下述方法得到: 对一定消费品进行分配,在所有其他消费者效用水平既定条件下使一位消费者的效用达到极大。设有n位消费者交换并消费m种固定数量商品。其中除第K位消费者外其他消费者效用水平保持不变,实现帕累托最优性的条件为:

其中,MRSs,jk,MRSs,ji分别表示第k位,第i位消费者的任意一对商品s和j的边际替代率。重复上述过程,可以得到实现交换帕累托最优性的条件:所有消费者对任意一对商品的边际替代率彼此相等。交换帕累托最优性条件还可以由交换契约曲线直观地得到。
〖参〗帕累托最优
 帕累托条件
 生产帕累托最优性
 生产和交换帕累托最优性
☚ 社会福利函数   生产帕累托最优性 ☛
00001079
随便看

 

离鸟网收录3541549条中英文词条,其功能与新华字典、现代汉语词典、牛津高阶英汉词典等各类中英文词典类似,基本涵盖了全部常用中英文字词句的读音、释义及用法,是语言学习和写作的有利工具。

 

Copyright © 2004-2024 vtrois.com All Rights Reserved
更新时间:2026/4/20 3:11:43