网站首页  词典首页


请输入您要查询的字词:

 

字词 井冈霉素
类别 中英文字词句释义及详细解析
释义

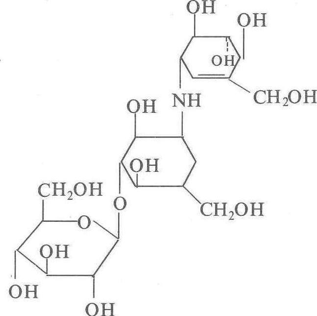
井冈霉素validamycin A

强内吸性,具选择作用的抗生素类杀菌剂。它是吸水链霉菌井冈变种产生的水溶性抗生素——葡萄糖苷类化合物。共有六个组分,其中井冈霉素A是最有活性的物质。其化学结构式:

1973年上海农药研究所从江西井冈山地区土壤中分离得到。它与1972年日本武田药品工业公司发展的同类农用抗生素多效霉素在理化性质、特性和田间试验结果上极为相似。
性能 纯品为白色粉末,无一定熔点,95~100℃软化,130~135℃分解。易溶于水,溶于甲醇、二甲基甲酰胺、二氧六环、二甲基亚砜,微溶于乙醇,不溶于丙酮、氯仿、苯、石油醚等有机溶剂。本身呈弱碱性,在中性和碱性溶液中稳定。对温血动物低毒,大鼠和小鼠急性口服LD50>20000毫克/千克,大鼠和小鼠皮下注射LD50>15000毫克/千克。用5000毫克/千克涂抹大鼠皮肤,无中毒反应。对大鼠和小鼠每日分别以1000毫克和2000毫克/千克饲喂90天,无不良影响。对鲤鱼LC50>40毫克/升,对蜜蜂和其他天敌无毒。对水稻纹枯病菌高效,对丝核菌亦有良好生物活性。易被菌体细胞吸收并在菌体内传导,干扰和抑制菌体细胞正常生长发育,从而起到治疗作用。药剂耐雨水冲刷,施药后4小时降雨,对药效无影响,而且药效可持续15~20天。
应用 以有效成分75~112.5克/公顷剂量喷洒可有效地防治水稻纹枯病、稻曲病和小麦纹枯病。防治水稻纹枯病还可用泼浇方法,防治小麦纹枯病也采用拌种或种衣法。防治棉花和黄瓜立枯病采用灌根或苗床灌浇法更为适宜,施药浓度分别为50~100毫克/升和25~50毫克/升。防治水稻纹枯病可在任何时期施用。对作物安全,无药害。加工制剂有3%、5%水剂,0.33%粉剂和3%、5%水溶性粉剂等多种剂型。可与多种杀虫剂如杀虫脒、乐果、巴丹、甲六粉等混用。

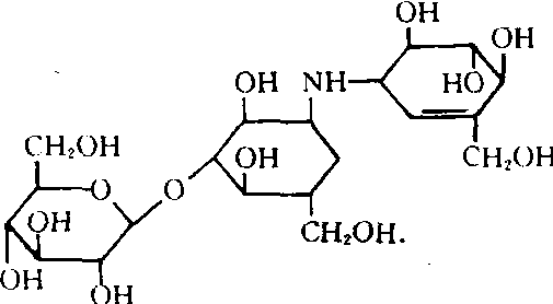
井冈霉素Jinggangmycin

农用抗生素。由吸水链霉菌井冈变种产生的一种代谢物。化学名称:N-〔(1S)-(1,4,6/5)-3-羟甲基-4,5,6-三羟基-2-环己烯基〕〔O-β-D-吡喃葡萄糖基-(1→3)〕-1S-(1,2,4/3,5)-2,3,4-三羟基-5-羟甲基-环已基胺。化学结构式如下。上海农药研究所1973年分离的菌株,其代谢产物的理化性质、生物活性与日本的有效霉素(Validamycin)基本相同。纯品为白色粉末,在95~100℃软化。135℃时分解,易溶于水,微溶于乙醇,溶于甲醇、二氧六环、二甲基酰胺,不溶于丙酮、氯仿、苯、石油醚等。pH3~9水溶液中稳定。其主要成分为A、B、C、D、E、F六种组分组成,其中A、E、F三组分对水稻纹枯病菌菌丝产生异常分枝的能力最强。其作用机制是对丝核菌的海藻糖酶有明显抑制,从而抑制菌体对葡萄糖的利用,导致菌丝伸长及侵染菌块的形成受阻。田间试验表明40单位的药液喷洒对水稻纹枯病具有明显的预防和治疗作用,并能保持15~20天药效,对水稻安全。亦用于防治小麦纹枯病,但效果稍差于对水稻纹枯病。制剂为发酵棕褐色浓缩水剂,亦有少量粉剂。对人畜安全;小鼠急性经口LD50>20 000mg/kg。小鼠静脉注射LD50>13 000 mg/kg,对皮肤、眼无刺激。

随便看

 

离鸟网收录3541549条中英文词条,其功能与新华字典、现代汉语词典、牛津高阶英汉词典等各类中英文词典类似,基本涵盖了全部常用中英文字词句的读音、释义及用法,是语言学习和写作的有利工具。

 

Copyright © 2004-2024 vtrois.com All Rights Reserved
更新时间:2026/4/21 16:28:55