网站首页  词典首页


请输入您要查询的字词:

 

字词 二糖
类别 中英文字词句释义及详细解析
释义
二糖

二糖ertang

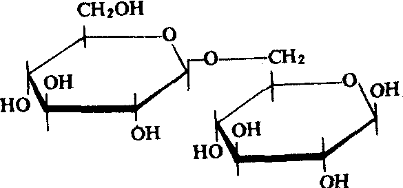
指含有两个单糖单位的糖。在大多数二糖中,2个单糖单位是用“糖苷键”连接的。即1个糖的羰基碳(如己醛糖的C1)与第2个糖的羟基构成化学键。糖苷键可被酸水解,但与碱不发生反应,因此当二糖与稀酸共沸时,可得游离的单糖组分。生物体中也有水解二糖产生单糖的二糖酶。自然界最普遍的二糖是蔗糖、乳糖和麦芽糖。麦芽糖含有2个D-葡萄糖残基。第1个葡萄糖的C1和第2个葡萄糖的C4连接。糖苷键中C1的构型是α,所以这种连接键叫做α(1→4)或α- 1,4糖苷键,带有C1碳原子的单糖用第1个数字表示。麦芽糖的2个葡萄糖残基都是吡喃式,它的第2个葡萄糖残基保留一个能被氧化的自由羰基,因此有还原性。麦芽糖也属还原糖,有α和β两种异构体。乳糖办存在于乳中,水解时产生D-半乳糖和D-葡萄糖。其葡萄糖残基含有自由羰基,故也有还原性,有α和β两种异构体。蔗糖或食糖是葡萄糖和果糖构成的二糖。它能被许多植物合成,但在高等动物体中不存在。其D-葡萄糖残基的羰基碳(C1)已和D-果糖的羰基碳(C2)连在一起,因此不含自由羰基,不是还原糖。蔗糖在植物中的生物功能不太好解释。虽然D-葡萄糖是淀粉和纤维素的结构单位,光合作用的主要中间产物却是蔗糖。在许多植物中,蔗糖是糖类通过维管系从叶运输到植物其他部分的主要形式。蔗糖作为糖的运输形式之所以比D-葡萄糖优越,可能就是因为它的羰基碳原子全结合在一起,因此在到达植物中最终目的地之前,蔗糖可不被植物酶氧化或水解,而受到保护。在3种最常见的二糖中,蔗糖是最甜的一种,它也比葡萄精甜(参见“单糖”条)。

麦芽糖β,含α



图529 重要的

☚ 单糖   多糖 ☛

二糖

二糖ertang

能水解形成两分子单糖的碳水化合物,是最常见的低聚糖。二糖也叫双糖,两个单糖部分以糖苷键相连接,以苷羟基形成糖苷键的单糖部分叫成苷部分,以普通羟基形成糖苷键的单糖部分叫未成苷部分。未成苷部分存在环状半缩醛 (或半缩酮) 与开链异构体的互变平衡。还原性二糖分子中,一个单糖部分是成苷部分,另一个单糖部分是未成苷部分。非还原性二糖分子中,两个单糖部分都是成苷部分。
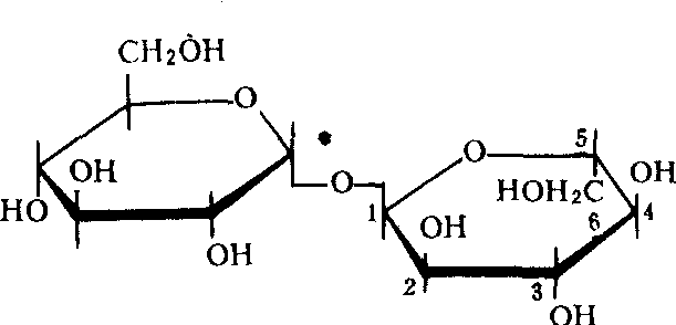
二糖中同分异构现象较多,除单糖部分的同分异构现象外,糖苷键的位置与构型也是重要原因,成苷部分的α-型与β-型,未成苷部分参加糖苷键的羟基的位置,都对二糖的结构有决定意义。纤维二糖和麦芽糖都是由两个葡萄糖组成的,它们的未成苷部分相同,都是以4-位羟基形成糖苷键; 成苷部分不同,纤维二糖的成苷部分是β-D-葡萄糖,而麦芽糖的成苷部分是α-D-葡萄糖 (参见“麦芽糖”,见图1)。



图1 β-(+)-纤维二糖


龙胆二糖也是由两个葡萄糖单元组成的还原性二糖,其未成苷部分是以6-位羟基与成苷部分β-葡萄糖的苷羟基形成糖苷键(见图2)。



图2 β-龙胆二糖


海藻糖是由两个葡萄糖单元组成的非还原性二糖,两个葡萄糖都是α-型(见图3)。



图3 (+)-海藻糖


麦芽糖、纤维二糖、龙胆二糖、海藻糖以及蔗糖都互为同分异构体,它们的分子式都是C12H22O11
☚ 低聚糖   蔗糖 ☛

二糖

disaccharide

随便看

 

离鸟网收录3541549条中英文词条,其功能与新华字典、现代汉语词典、牛津高阶英汉词典等各类中英文词典类似,基本涵盖了全部常用中英文字词句的读音、释义及用法,是语言学习和写作的有利工具。

 

Copyright © 2004-2024 vtrois.com All Rights Reserved
更新时间:2026/4/21 12:53:29