网站首页  词典首页


请输入您要查询的字词:

 

字词 二氢吡啶类
类别 中英文字词句释义及详细解析
释义
二氢吡啶类

二氢吡啶类

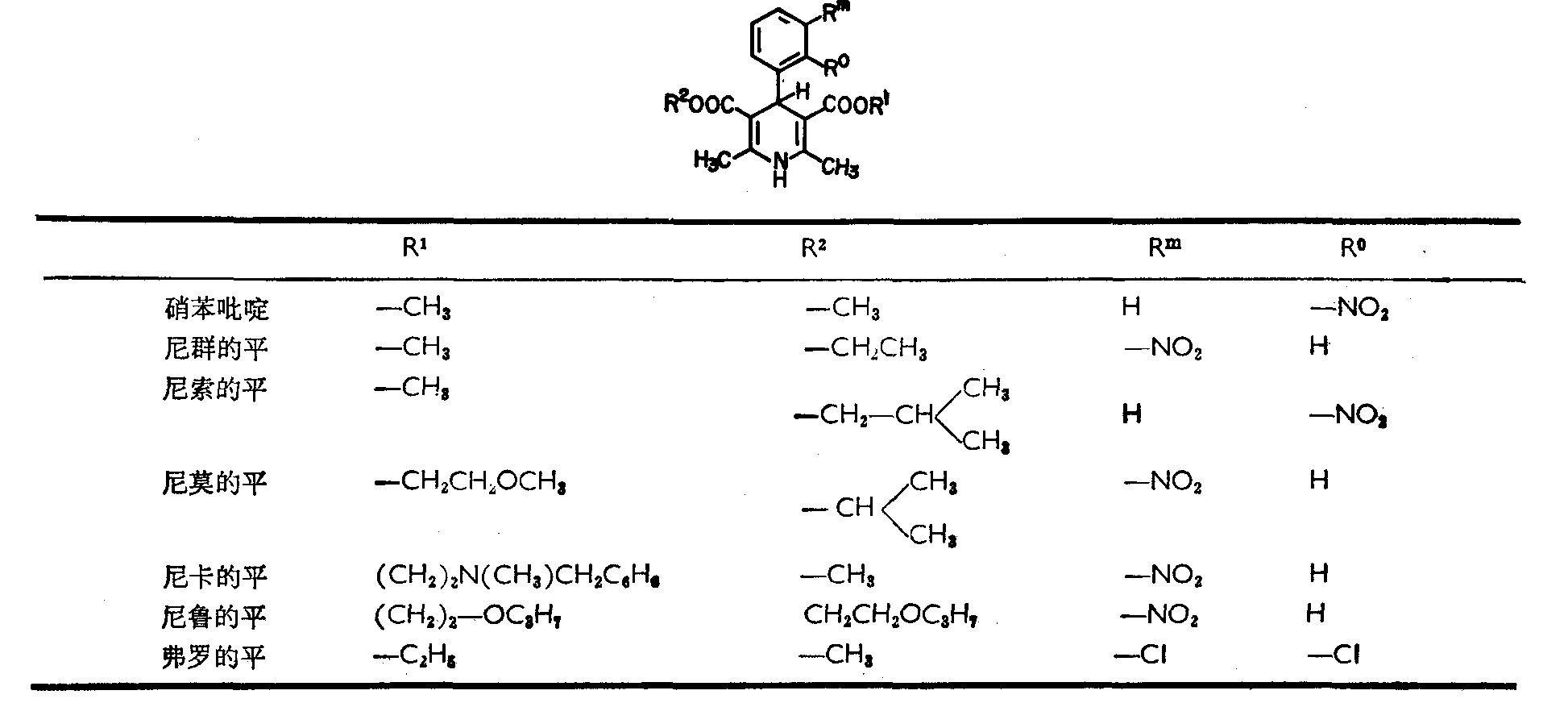
二氢吡啶类是一类具有明显扩张血管的钙拮抗剂,属于这类化合物的有硝苯吡啶 (nifedipine)、尼群的平(ni-trendipine)、尼莫的平(nimodipine)、尼卡的平(nicar-dipine)、尼鲁的平(niludipine)、尼索的平(nisoldi-pine)、弗罗的平(felodipine)等,它们的化学结构式如下:


从构效关系的研究表明: 二氢吡啶环3、5位的两个酯基不相等 (R1≠R2) 其扩张血管作用强于对称取代物,NO2在对位时抑制心脏作用比间位强,NO2在对位和间位者扩张血管作用较邻位强,尼卡平的右旋体对狗血管的扩张血管作用比左旋体强3倍。
硝苯吡啶 又名利心平、心痛定(nifedipine,adalateBAY a 1040),为二氢吡啶类钙通道阻滞剂,黄色针状结晶,熔点170~172℃,难溶于水,溶于乙醇。硝苯吡啶是最早用于临床的二氢吡啶类化合物,其扩张血管作用比抑制心脏作用强10倍,高血压病人在服药后,阻力血管扩张,外周阻力降低,心脏后负荷减少,血压下降,容量血管也扩张,但此作用较弱,总的作用仍使心输出量增加。由于血压下降可反射性引起心率加快,心收缩力加强。降压剂量对心脏无直接抑制作用,故除用作降压药外,还用于慢性充血性心力衰竭,使其心功能改善。
硝苯吡啶能明显扩张冠脉,增加冠脉血流,改变缺血心肌的血流分布,使缺血区血流增加,促进侧支循环。对因冠脉痉挛所致的心绞痛疗效显著。本药口服吸收好,70~80%由肾排出。
不良反应少,无收缩支气管和水钠潴留作用,较常见的不良反应有面部潮红、乏力,个别人有位置性低血压。
口服或舌下给药一次10~20mg,每日3次,静脉注射1mg。
在目前已合成的二氢吡啶类药物中,有的作用性质和硝苯吡啶相似,但作用均比硝苯吡啶强,作用维持时间也较长。如尼群的平和尼莫的平选择性血管扩张作用更强,较少引起心率加快,适用于高血压患者,尼莫的平和尼卡的平对脑血管有较明显扩张作用。用于治疗脑血管痉挛有较好疗效。
☚ 沛心达   硫氮䓬酮 ☛
00005496
随便看

 

离鸟网收录3541549条中英文词条,其功能与新华字典、现代汉语词典、牛津高阶英汉词典等各类中英文词典类似,基本涵盖了全部常用中英文字词句的读音、释义及用法,是语言学习和写作的有利工具。

 

Copyright © 2004-2024 vtrois.com All Rights Reserved
更新时间:2026/4/20 18:59:20