网站首页  词典首页


请输入您要查询的字词:

 

字词 二次函数的最大值和最小值
类别 中英文字词句释义及详细解析
释义
二次函数的最大值和最小值

二次函数的最大值和最小值

erci hanshu de zuidazhihe zuixiaozhi) 二次函数y=ax2+bx+c (a≠0),当x=-b/2a时,y取得最大值或最小值(4ac-b2)/4a.若a>0,则y=(4ac-b2)/4a为最小值;若a<0,则y=(4ac-b2)/4a为最大值.


例如,函数y=2x2-3x+1,当x=3/4时,y有最小值-1/8.又如函数y=-(1/3)x2-2x+3,当x=-3时,y有最大值6.
在求某二次函数的最大(小)值时,常采用配方法.如对于函数y=2x2-3x+1,将其解析式配方,变为y=2(x-3/4)2-1/8,由此可知当x=3/4时,y有最小值-1/8.
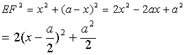
求二次函数的最大(小)值有着广泛的应用.例如,求正方形的最小面积的内接正方形(各顶点分别在原正方形边上的正方形,称为原正方形的内接正方形).如图,正方形ABCD,依次在各边上取点E,F,G,H,使EFGH为正方形.很容易知道,AE=BF=CG=DH.设AB=a,AE=x,则正方形EFGH的面积为

所以,当AE=a/2(即为AB中点)时,正方形EFGH面积最小.
☚ 二次函数及图象   初等函数 ☛
00012350
随便看

 

离鸟网收录3541549条中英文词条,其功能与新华字典、现代汉语词典、牛津高阶英汉词典等各类中英文词典类似,基本涵盖了全部常用中英文字词句的读音、释义及用法,是语言学习和写作的有利工具。

 

Copyright © 2004-2024 vtrois.com All Rights Reserved
更新时间:2026/4/21 18:57:39