058 二次内插法
隋唐天文历算家为更精密推算日、月、五星的视运动度数所采用的计算方法。隋刘焯在世界上最早创用了等间距二次内插法。600年,他在《皇极历》 中四处运用此法。其计算相当于公式:

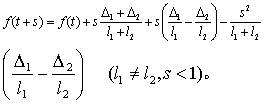
刘焯的算法是数学史上的重要成就,早于牛顿1000多年,对后世历法研究也有很大影响。619年唐傅仁均《戊寅历》、664年唐李淳风《麟德历》都用到类似公式。“精密至当,以示算理通涂(途)。”(李淳风语) 由于各个节气之间的时间长短实际上不相等,因此刘焯公式仍不够精确。727年,唐一行在刘焯基础上于《大衍历》的“步日躔术”(计算太阳视运行度数的步骤)中创用自变量不等间距的二次内插法。其算法相当于公式:

这就是数学史上著名的张遂内插法公式。822年,晚唐的徐昂在《宣明历》中更简化了一行的结果。他推算太阳视行度数时所用公式为:

其中△f (n) =△
1=f(n+1) -f(n),△
2f(n) =△
2-△
1= [f(n+2)-f(n+1)] - [f (n+1) -f(n)].内插法的创立、发展与应用是中国数学史和天文学史上的一项重大成就。