网站首页  词典首页


请输入您要查询的字词:

 

字词 久期
类别 中英文字词句释义及详细解析
释义

久期Duration

亦称“持续期”,或称“麦考雷久期”。债券贴现现金流的加权平均到期时间。1938年由美国经济学家麦考雷提出。久期是债券每次支付现金所用时间的加权平均值,权重为每次支付现金流的现值占现金流现值总和的比率。它综合反映到期时间、债券现金流以及市场利率等因素变动对债券价格的影响,是衡量债券利率风险的指标。一般来说,久期和债券的到期收益率成反比,和债券的剩余年限及票面利率成正比。久期越短,债券对利率的敏感性越低,风险越低;反之,久期越长,债券对利率的敏感性越高,风险越高。计算公式为:D=PV(ct)×t B=。其中,D是麦考雷久期,B是债券当前的市场价格,PV(ct)是债券未来第t期收益的现值,T是债券的到期时间。

久期

久期duration

久期是在研究附息票债券时由Macaulay提出的概念,它比债券的到期日更为准确地刻画了债券的时间特性。具体说来,它把附息票债券根据到期日的不同看做一系列零息票债券,根据一定的折现率,计算出每一种零息票债券的现值和债券的总现值,再计算出每一种零息票债券的现值占债券的总现值的比重,并用这一比重作为权重,对零息票债券的到期日进行加权平均,结果即为附息票债券的久期。
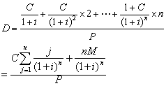
假定有一种附息票债券,期限为n期,每期支付利息为C,债券的折现率为i,用D表示债券的久期,P表示债券的总现值,M表示债券的面值。计算公式为:

☚ 冲击   方差分量模型 ☛
00000840
随便看

 

离鸟网收录3541549条中英文词条,其功能与新华字典、现代汉语词典、牛津高阶英汉词典等各类中英文词典类似,基本涵盖了全部常用中英文字词句的读音、释义及用法,是语言学习和写作的有利工具。

 

Copyright © 2004-2024 vtrois.com All Rights Reserved
更新时间:2026/4/21 16:11:55