M1408滚筒磨床的中高装置调整查图计算
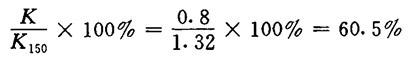
【说明】 对于M1408滚筒磨床的中高装置的调整可以用查图的方法进行。该法比较简单,可以根据有关数据,直接查出中高数值。 【方法】 按已知的压辊辊长L,在图1-15-60或图1-15-61上查出中高数值表上最大指针读数150时所对应的中高K150,然后求出图纸所要求的中高K对K150的百分数 ×100%,最后在图1-15-62上查得中高数值表的指针读数。 【例】 已知压辊长度b=2500mm,图纸要求的中高K=0.8mm,调换齿轮Z=45∶45,在图1-15-61上查得K150=1.32mm,则:  以60.5%在图1-15-60上查得中高数值表上指针读数(滚子位置)为81mm。 【注意】 由于机床零件尺寸在安装中的误差,以及传递运动的误差,试磨后,按实际测量值需略加修正。 |