网站首页  词典首页


请输入您要查询的字词:

 

字词 两性霉素b
类别 中英文字词句释义及详细解析
释义

两性霉素B

多烯类抗真菌抗生素。初始每日静脉滴注1~5 mg,以后逐渐增量至每日0.4~0.6 mg/kg,血浆药物峰值浓度达0.5~2 μg/mL。尿中排泄物约2%~5%为活性物,用药7周后尿中仍可检出。静脉滴注每日0.1~0.25 mg/kg,逐渐增加到每日1 mg/kg,每日1次。注射用两性霉素B:每支10 mg、25 mg、50 mg。

两性霉素Bamphotericinum B

系一种多烯类抗真菌抗生素(国内由庐山链丝菌产生的庐山霉素与本品同)。本品为黄色至橙黄色粉末,不溶于水与乙醇,其注射剂中添加有一定量的脱氧胆酸钠起增溶作用,可溶成胶体溶液,但遇无机盐 溶液则析出沉淀。临床用于由隐球菌、球孢子菌、荚膜组织胞浆菌、芽生菌、念珠菌、孢子丝菌、曲菌等引起的内脏与全身感染。静滴:开始小剂量0.1~0.25mg/kg/日,逐渐增至1mg/kg/日,用灭菌注射用水溶解后加入5%葡萄糖溶液中浓度不超过0.1mg/ml,滴速1~1.5ml/分,疗程总量,白色念珠菌感染约1g,隐球菌脑膜炎约3g;鞘内注射用于隐球菌脑膜炎,0.5mg溶于注射用水0.5~1ml中,每日1次,共30次,可加入地塞米松减轻反应;雾化吸入用于支气管与肺部感染5~10mg溶于100~200ml注射用水中,分4次吸入;局部病灶注射浓度1~3mg/ml,3~7日用1次。本品毒性大,可引起消化道、脉管、肾脏、血液、皮肤、神经、心脏等多系统毒副作用,引起低血钾时及时补钾。本品须保存在15℃以下,避光,配成的溶液尤须避光。

两性霉素B

两性霉素B


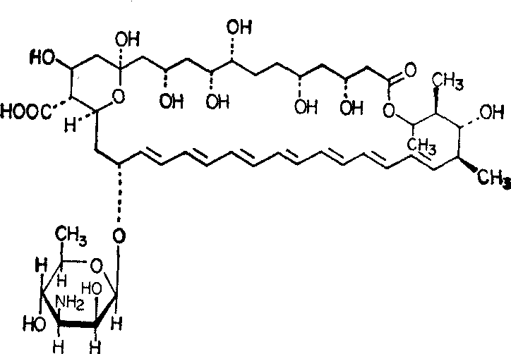
两性霉素B(amphotericin B)由节状链霉菌Str. nod-osus产生,该菌同时产生两种多烯抗生素——两性霉素A(四烯)和两性霉素B(七烯)。
两性霉素B为橙黄色,两性。无固定熔点,两性霉素B不溶于水,但在pH 2以下或pH11以上含水醇中可增加溶解度3~4倍,市售者为去氧胆酸复合物,加水成胶体溶液。
两性霉素B对深部真菌如隐球菌、念珠菌、组织胞浆菌、皮炎芽生菌、巴西芽生菌、球孢子菌等都有较强的抑菌作用。对敏感菌株的最低抑菌浓度多在0.04~2.0μg/ml之间,其余在2~7μg/ml之间。近来已发现临床出现对两性霉素B的耐药菌株,但为数不多。
本品口服不吸收,要静脉滴注或局部给药如鞘内注射、气溶雾化吸入、滴眼等。两性霉素B副反应较多,静脉滴注时可有高烧、寒战、恶心、呕吐、头痛、肾脏损害、低血钾症等反应。给药前半小时予以阿司匹灵或抗组织胺药物或在滴注液中加入肾上腺皮质激素,能减轻发热、头痛等不良反应的发生。两性霉素B须溶于5%葡萄糖液中滴注,首次剂量为0.1mg/kg,以后每次递增,最高单次剂量为1mg/kg,每日或间日给药一次,疗程视病情而定。两性霉素B与5-氟胞嘧啶合用有协同作用。
☚ 多烯大环内酯抗生素   制霉菌素 ☛
00005651
随便看

 

离鸟网收录3541549条中英文词条,其功能与新华字典、现代汉语词典、牛津高阶英汉词典等各类中英文词典类似,基本涵盖了全部常用中英文字词句的读音、释义及用法,是语言学习和写作的有利工具。

 

Copyright © 2004-2024 vtrois.com All Rights Reserved
更新时间:2026/4/21 16:12:35