不定积分的第一换元积分法buding jifen de diyi huanyuan jifenfa
设
(x)是可导函数,则根据换元公式

求不定积分的过程叫做第一换元积分法.
第一换元积分法的基本思路如下. 若所求的不定积分∫g(x) dx不易计算,而g(x)含有因子ψ′ (x),使g (x)可以表示成ψ′ (x)与ψ (x) 的某个函数f(ψ (x)]的乘积,或g (x) dx=f [ψ (x)]ψ′ (x) d x=f [ψ (x)] dψ (x),则可作变换u=ψ (x),得

而
容易求,且等于F (u) +C,则根据上述法则,得
| ⨜f(u)du=F(u)+C=F[⨜(x)]+C. |
这就是所求的
简言之,第一换元积分法是指,
通过适当的变量代换,即选取原被积函数的某个中间变量为新的积分变量,将所求的不定积分化为易求的基本形式,而后再求出积分结果.
第一换元积分法又称“凑微分法”,方法的关键在于找到符合要求的ψ(x):不仅能将原被积表达式凑成f (ψ(x)]dψ(x)的形式,更重要的是使得到的 ∫f (u)du易于求出.
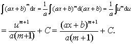
例1 求

解 可设u=ax+b,则du=adx,dx=1/adu.

例2 求

解 可将1nx作为中间变量,于是d1nx=dx/x.
