网站首页  词典首页


请输入您要查询的字词:

 

字词 下丘脑及其激素
类别 中英文字词句释义及详细解析
释义
下丘脑及其激素

下丘脑及其激素

下丘脑位于间脑腹面,是内脏活动的高级整合中枢,调节生殖、水平衡,摄食、代谢等生理过程。下丘脑通过门脉循环与垂体前叶密切联系,血流从下丘脑向垂体运行,把下丘脑分泌的释放或抑制激素输送到垂体前叶,以调节腺垂体的功能。已分离出的下丘脑释放或抑制激素有促甲状腺激素释放激素 (thyrotropin releasing hor-mone,TRH)、黄体生成激素释放激素(luteinizing hor-mone-releasing hormone,LH-RH) 或促卵泡激素释放激素(follicular stimulating hormone releasing hor-mone,FSH-RH)、生长激素释放激素(growth hormonereleasing hormone,GRH)、生乳素抑制因子(prolactininhibiting factor,PIF)、生乳素释放因子 (prolactinreleasing factor,PRF)、促肾上腺皮质激素释放因子(corticotropin releasing factor,CRF)、生长激素抑制激素(growth hormone releasing-inhibiting hormone,GRIH)、黑色细胞刺激素抑制因子(melanocyte-stimulating hormone-inhibiting factor,MSH-IF)、黑色细胞刺激释放因子 (melanocyte-stimulating hormone-rele-asing hormone,MSH-RH)等,前四种与妇产科的关系比较密切。下丘脑的视上核和室旁核均能合成加压素(抗利尿激素antidiuretic hormone,ADH)和催产素。前者合成加压素为主,后者合成催产素为主。此两种激素在神经细胞中与神经垂体素的载体蛋白结合,沿轴突运输;结合蛋白的作用是贮存激素,是否随同激素释入血液,尚有争论。目前倾向于认为神经垂体素与激素同时释入血液,下丘脑的神经末梢有去甲肾上腺素、多巴胺及5-羟色胺三类。已证明多巴胺注入第三脑室,门脉系统LH-RH/FSH-RH浓度增高,血浆内FSH、LH也增多,反之将多巴胺直接注入门脉系统,则不引起垂体释放促性腺激素,因此可证明多巴胺刺激FSH、LH的释放不是通过它对垂体的直接作用,而是在下丘脑促进LH-RH/FSH-RH的分泌。另外多巴胺可抑制腺垂体释放生乳素,其机理尚不明。LH-RH,FSH-RH,统称为促性腺激素(gonadotropin releasing hormone,GH-RH)。至于是否除LH-RH外,还有FSH-RH存在,至今仍无统一意见。
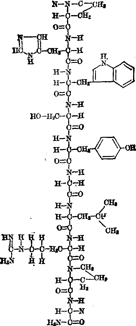
黄体生成激素释放激素(LH-RH) 是已分离提纯的一种释放激素。目前已可人工合成,并应用于临床诊断和治疗。LH-RH是十肽化合物,分子结构式见图1。
氨基酸序列为H-焦谷-组-色-丝-酪-甘-亮-精-脯-甘-NH2,分子量C59H91N17O13=1182。
猪、牛、羊LH-RH的结构类似,人LH-RH的精确结构尚未确定。现已合成百余种LH-RH类似物,并确定其N端的三肽(焦谷-组-色氨酸)为活性基团,分子中的精、酪、丝及亮氨酸可能只影响LH-RH与垂体受体的结合。LH-RH为白色或微黄色粉末,易溶于水。
研究发现LH-RH在正中隆起及弓状核等处含量最多,现认为LH-RH系由下丘脑弓状核合成,经神经轴突运送,贮存于正中隆起的神经末梢,需要时分泌入毛细血管,并经垂体门静脉运至腺垂体。促性腺激素释放激素也可被特化的脑室膜细胞摄取,经脑脊液再进入血液循环。LH-RH也分布于脑的其它部分如松果腺、第三脑室、脑脊液等,乳汁中也含有类LH-RH活性物质。注射外源性的LH-RH,在血中迅速降解,半衰期约4分钟。主要从肝、肾排出。

图1 LH-RH分子式结构


LH-RH直接作用于垂体,主要促进黄体生成激素(luteinizing hor-mone,LH)的合成及分泌,也促进少量促卵泡激素(folli-culor stimulating hormone,FSH)的合成及分泌,还能使肢端肥大症患者的垂体分泌生长激素。下丘脑通过分泌LH-RH调节垂体分泌两个促性腺激素,即LH及FSH。
垂体细胞浆膜上存在高度亲合力的受体,能与LH-RH结合,通过激活腺苷酸环化酶、环-磷腺苷系统,改变细胞膜的通透性,释出含LH的分泌颗粒,激活细胞内的某些激酶,促进LH的合成,钙离子也参与此分泌过程,近年又发现组织细胞中的其它环核苷酸如环-磷酸鸟苷(cyclic guanine monophosphate,cGMP) 以及前列腺素等也与LH-RH的作用有关。此外肝、脾、肾皮质、肺、睾丸、卵巢、心肌等处也存在着低亲合性的LH-RH受体。这些垂体外LH-RH受体的作用尚不清楚。
常用的测定LH-RH的方法有生物学测定及放射免疫分析法。成年女性血浆LH-RH浓度为69.6±12.3pg/ml,月经中期血浆LH-RH增加并形成LH-RH峰。绝经后妇女血浆LH-RH浓度倾向于升高。
促甲状腺激素释放激素(TRH) 也是已分离提纯的一种释放激素,Schally等和Guillemin等(1969)分别自猪和羊的下丘脑中分离提纯,现已合成多种TRH类似物,并已应用于临床。TRH为三肽酰胺,比较稳定,口服可以吸收,其分子式结构见图2。氨基酸序列为焦谷-组-脯-NH2,分子量为 C16H22N6O4=362.4。TRH合成的精确定位尚不明。正中隆起处TRH浓度最高,但下丘脑以外的脑区也有,但浓度较低。人及大鼠的骨髓,羊、牛、猪的松果腺以及许多动物的神经垂体中都有TRH存在。TRH的合成是由一种TRH的合成酶来中介的非核糖微粒的过程。注入外源的TRH,在血中迅速消失,半衰期约为5.3±0.5分。TRH除可经垂体门静脉直接进入血循环,也可被特化的脑室膜细胞摄取,经脑脊液进入血循环。

图2 TRH分子式结构


TRH的主要生理作用是促使垂体前叶合成及分泌甲状腺激素(thyrotropin stimulating hormone,TSH)、生乳素(prolactin,PRL)以及在肢端肥大症及某些肾功能不全的患者促进生长激素的分泌。TRH与中枢神经系统的功能活动有关,起着介质的作用。TRH也存在于胃肠道,参与胃肠道分泌及运动的调节作用。
在垂体细胞浆膜面有着高和低亲和性两类TRH受体,TRH与受体结合以后的细胞内过程与一般肽类激素相同。
测定TRH的方法除生物学测定外,还有放射免疫分析法。血浆TRH浓度约为19.8±3.1pg/ml。尿中TRH的含量男性为195.3±14.1ng/ml,女性149.4±8.4ng/ml。生长激素释放抑制激素(growth hormone releasing-inhibiting hormone,GRIH)或生长抑制素(somatostotin) 是Guillemin等(1973)从羊下丘脑中分离出的抑制垂体前叶生长激素释放的激素,已人工合成,并应用于临床治疗肢端肥大症、糖尿病、甲状腺功能亢进,卓艾氏综合征以及溃疡病等。GRIH是由14个氨基酸组成的环状多肽,排列顺序为H-丙-甘-半胱-赖-门酰-苯丙-苯丙-色-赖-苏-苯丙-苏-丝-半胱-OH,有三种形式,分子量4500~1000之间。已合成GRIH类似物。用放射免疫法测得大鼠脑内的GRIH主要分布于下丘脑下部后方弓状核及其前方视前区及交叉上核,也存在于胃肠道,尤其是胃(胃窦、胃体部)、胰(胰岛D细胞)、十二指肠等,胃肠道的GRIH是胃肠道本身所产生。GRIH主要抑制垂体前叶生长激素以及其它如促甲状腺激素、生乳素、促肾上腺皮质激素、胰高血糖素、胰岛素、胃泌素、促胰液素等的分泌,故也称它为激素的抑制物,GRIH对中枢神经系统的活动也有抑制作用。给人应用GRIH,可以出现腹痛、腹泻、出汗、全身无力等副反应。
生长激素释放激素(GRH) 是Frantz等(1962)从猪下丘脑提取的具有促进垂体前叶分泌生长激素作用的激素。Schally等从猪下丘脑提得高度纯化具有GRH活性的物质,其氨基酸组成为:
H-异亮-组-亮-丝-丙-谷-谷-赖-谷-丙-OH,但是在人体GRH的提纯、化学结构以及人工合成还有待研究解决。
☚ 下丘脑-垂体-卵巢轴   垂体及其激素 ☛
00011280
随便看

 

离鸟网收录3541549条中英文词条,其功能与新华字典、现代汉语词典、牛津高阶英汉词典等各类中英文词典类似,基本涵盖了全部常用中英文字词句的读音、释义及用法,是语言学习和写作的有利工具。

 

Copyright © 2004-2024 vtrois.com All Rights Reserved
更新时间:2026/4/20 8:49:56