网站首页  词典首页


请输入您要查询的字词:

 

字词 三角方程组
类别 中英文字词句释义及详细解析
释义
三角方程组

三角方程组sanjiao fangchengzu

把若干个三角方程联立起来组成的一组方程.
例如


消元是解方程组的根本途径,常用同角三角函数的关系式(如平方关系或倒数关系等)消元,然后解之.
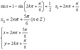
例 解方程组


解 原方程组可化为

由(1)2+(2)2

解得

将(3)代入(1)得

不是原方程组的解.
所以方程组的解为

☚ 齐次三角方程   反三角方程 ☛
00012461
随便看

 

离鸟网收录3541549条中英文词条,其功能与新华字典、现代汉语词典、牛津高阶英汉词典等各类中英文词典类似,基本涵盖了全部常用中英文字词句的读音、释义及用法,是语言学习和写作的有利工具。

 

Copyright © 2004-2024 vtrois.com All Rights Reserved
更新时间:2026/4/21 22:38:43