网站首页  词典首页


请输入您要查询的字词:

 

字词 三苯基氯化四唑
类别 中英文字词句释义及详细解析
释义

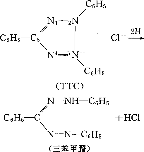
三苯基氯化四唑2,3,5-triphenyl tetrazolium chlo-ride,TTC

又称氯化三苯基四氮唑或氯化四唑。四唑2,3,5位上的氢原子被苯基取代后的氯化物。一种用来检验脱氢酶活性的有机化合物。分子式为C19H15N4Cl,分子量334.80,溶于水、醇和丙酮,不溶于醚。熔点245℃。无色或淡黄色结晶性粉末。 其水溶液被还原时变成不溶性的红色结晶——三苯甲䐶。常用来检定种子的发芽力、根系活力和逆境下植物组织的伤害率等。

随便看

 

离鸟网收录3541549条中英文词条,其功能与新华字典、现代汉语词典、牛津高阶英汉词典等各类中英文词典类似,基本涵盖了全部常用中英文字词句的读音、释义及用法,是语言学习和写作的有利工具。

 

Copyright © 2004-2024 vtrois.com All Rights Reserved
更新时间:2026/4/19 7:56:48