网站首页  词典首页


请输入您要查询的字词:

 

字词 三氮唑核苷
类别 中英文字词句释义及详细解析
释义

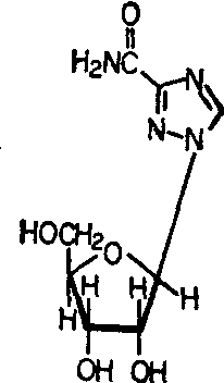
三氮唑核苷ribavirin, virazole

又叫病毒唑、三氮唑核甙,系一种抗病毒药。本品为一种强的单磷酸次嘌呤核苷脱氢酶的抑制剂,能阻止病毒核酸的合成。有较广谱的抗病毒作用。临床主要用于病毒引起的眼病及滴鼻预防流感。

三氮唑核苷

三氮唑核苷


三氮唑核苷 (virazole,ribavirin,RBV)又名病毒唑,是1970年合成的广谱抗病毒化合物,在体内、体外抗多种RNA和DNA病毒,临床试用治疗流感、疱疹、肝炎、麻疹等多种病毒性疾病,除经呼吸道给药治疗流感疗效肯定外,其他尚未被公认。
三氮唑核苷是根据体外广谱抗病毒的放线菌产物pyr-azofurin和formycin的结构而合成的。在组织培养内不同程度地抑制流感病毒、副流感病毒,麻疹病毒,呼吸道合胞病毒、鼻病毒、疱疹病毒和痘病毒等,在动物体内对流感病毒,副流感病毒,鼠肝炎病毒等有抑制作用,不易产生耐药性。
三氮唑核苷的抗病毒作用机理主要是抑制病毒合成酶,在感染细胞内磷酸化为三氮唑核苷单磷酸。后者竞争性抑制肌苷-5-′单磷酸脱氢酶,使肌苷单磷酸不能转化为次黄嘌呤单磷酸,从而阻断鸟苷单磷酸的合成,抑制多种RNA和DNA病毒的复制。鸟苷或次黄嘌呤核苷能拮抗三氮唑核苷的抗病毒作用。三氮唑核苷三磷酸还选择性地抑制流感病毒依赖RNA的RNA多聚酶,阻断病毒多肽的合成。三氮唑核苷也抑制细胞核酸合成,对细胞有一定毒性,选择性不佳。
三氮唑核苷在动物体内毒性不大。注射后大量存于肝脏;脑内不能测出,说明不能通过血脑屏障,故对鼠肝炎效果好,而对病毒性脑炎无效。
三氮唑核苷临床滴鼻或喷雾吸入法治疗流感有一定效果。对甲型肝炎病人口服治疗有较多报告认为一定有效,但尚未得公认,曾治疗过多种病毒感染,如麻疹、腮腺炎、疱疹、带状疱疹以及腺病毒肺炎等,未得重复的肯定结果。
大剂量长期服用三氮唑核苷可出现贫血,停药后恢复正常。
☚ 阿糖腺苷   无环鸟苷 ☛
00005668
随便看

 

离鸟网收录3541549条中英文词条,其功能与新华字典、现代汉语词典、牛津高阶英汉词典等各类中英文词典类似,基本涵盖了全部常用中英文字词句的读音、释义及用法,是语言学习和写作的有利工具。

 

Copyright © 2004-2024 vtrois.com All Rights Reserved
更新时间:2026/4/21 14:13:06