一元线性回归yiyuan xianxing huigui
一元线性回归是工程上和科研中常常遇到的配直线问题,即两个变量X和Y有一定的线性关系,通过试验,利用得到的数据找出两者之间的经验公式。

为了寻求变量X和Y之间的关系,我们对 (X,Y)作n次独立观察,获得n对观察值(x
i ,y
i)(i=1,2,…,n),再以它们为坐标,在坐标平面上描出n个观察点,如果这n个观察点分布在一条直线近旁(如图),则这条直线即可代表x与y之间的关系.下面利用最小二乘法来求此直线的方程。
设直线的方程为
=a +bX
则观察点 (x
i,y
i)与直线上对应于相同横坐标的点(x
i,
i) 之间的偏差为

以

表示n个观察点关于直线的总偏差,使总偏差Q最小的直线叫回归直线。
求回归直线的方程

=a+bx,并归结为求a, b使Q达到最小值。
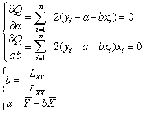
求Q关于a与b的偏导数,并令它等于零得

其中



所求的回归直线方程为
Y=a +bX。
注意,只有当两个变量之间确实存在线性统计关系时,求出的回归直线方程才有意义。
一元线性回归
因变量y与一个自变量x之间有线性关系, 其关系式为ŷ=b0+b1x, b0为直线截距,b1为斜率,即回归系数。根据样本资料,用最小二乘法去估计b0和b1,有正规方程组:

解联立方程组,得:


从而确定一元线性回归方程。从样本资料得出的方程能否用作总体方程的估计,需要对截距和回归系数进行检验。通过检验后,就可以根据给定的x值去推算或预测y值。