网站首页  词典首页


请输入您要查询的字词:

 

字词 一元方程根的几何意义
类别 中英文字词句释义及详细解析
释义
一元方程根的几何意义

一元方程根的几何意义yiyuan fangcheng gen dejihe yiyi

函数y=f(x)在直角坐标平面上的图象是一条曲线(图1).

图1


当曲线y=f(x)与x轴相交时,交点的横坐标就是一元方程f(x)=0的实数根.

图2


当曲线y=f(x)与x轴没有交点时,一元方程f(x)=0没有实数根.
例如,函数y=ax+b(a≠0)的图象是一条直线(图2).一元一次方程ax+b=0(a≠0)的根x=-b/a就是直线y=ax+b与x轴交点(-b/a,0)的横坐标.
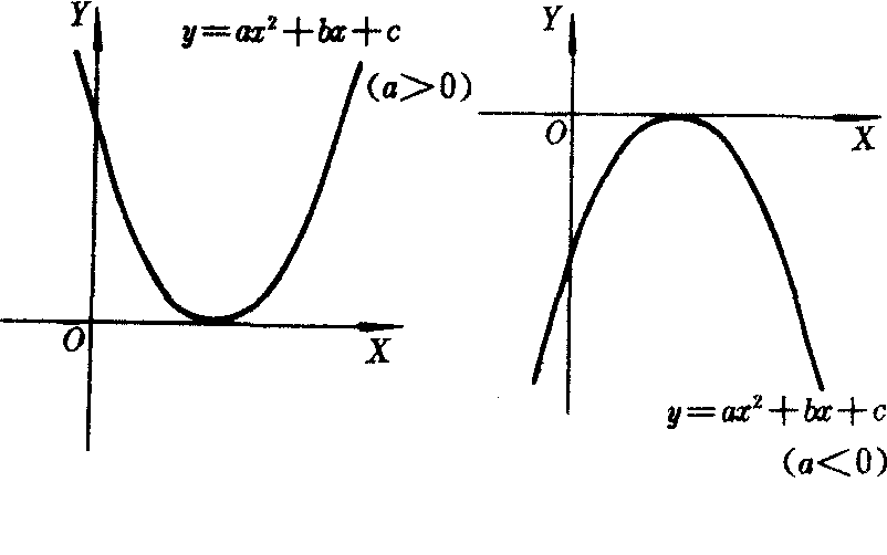
又如,函数y=ax2+bx+c(a≠0)的图象是抛物线.一元二次方程ax2+bx+c=0的根就是抛物线与x轴交点的横坐标.
若判别式△=b2-4ac>0,则方程有两个实数根x12=(-b±)/2a,此时抛物线y=ax2+bx+c与x轴有两个交点((-b+)/2a,0)

(图3).

图3


若判别式△=b2-4ac=0,则方程有两个实数根x1,2=-b/2a,此时抛物线y=ax2+bx+c与x轴相切于顶点(-b/2a,0)(图4).

图4


若判别式△=b2-4ac<0,则方程没有实数根,此时抛物线y=ax2+bx+c与x轴没有公共点(图5).

图5

☚ 一元二次方程的根与系数的关系   根式解 ☛
00012232
随便看

 

离鸟网收录3541549条中英文词条,其功能与新华字典、现代汉语词典、牛津高阶英汉词典等各类中英文词典类似,基本涵盖了全部常用中英文字词句的读音、释义及用法,是语言学习和写作的有利工具。

 

Copyright © 2004-2024 vtrois.com All Rights Reserved
更新时间:2026/4/20 15:42:51