网站首页  词典首页


请输入您要查询的字词:

 

字词 pps抽样
类别 中英文字词句释义及详细解析
释义

PPS抽样sampling with probability proportional to size

总体中每个单元被抽取的概率与其单元大小成正比的抽样方法。属不等概抽样。其效率高低的关键在于选择合适的辅助变量作为抽样概率的依据。依辅助变量和其取值的方式不同,林业上常用的PPS抽样方法可概分为3类:
❶列表抽样。将总体各单元辅助变量列成清单抽取表,然后进行抽样。具备林相图可不用列表,直接用网点膜片进行抽取。面积大的小斑网点落入的概率大,相同小斑有再次抽中的可能。列表抽样是最基本的PPS抽样方法。
❷角规点抽样和线抽样。
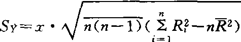
❸3P抽样。后两类是PPS抽样的变型。总体总量估计值为

若采用重复抽样方式进行概率抽样时,,则上式可简化为

式中yi为抽中单元的目的变量,即蓄积量观测值;xi为抽中单元的概率变量值,即小斑面积;x为总体N个单元概率变量的总值,即森林总体的总面积;n为PPS样本单元数;为yi与xi比值的平均数,即。总体总量估计值的标准误为:

PPS抽样方法的优点能发挥已知信息的作用,提高了抽样效率,简化了估计方法。但该法要求概率因子与目的变量成正比,抽中的单元较多,实测工作量较大。
随便看

 

离鸟网收录3541549条中英文词条,其功能与新华字典、现代汉语词典、牛津高阶英汉词典等各类中英文词典类似,基本涵盖了全部常用中英文字词句的读音、释义及用法,是语言学习和写作的有利工具。

 

Copyright © 2004-2024 vtrois.com All Rights Reserved
更新时间:2026/4/17 21:51:47