网站首页  词典首页


请输入您要查询的字词:

 

字词 n次单位根
类别 中英文字词句释义及详细解析
释义
n次单位根

n次单位根nci danweigen

1的n次方根.根据复数开方法则知道n次单位根有且仅有n个不同的值

分别以ε012,…,εn-1表示.显然,当k=0时,ε0=1.
n次单位根有以下性质
❶n次单位根的模是1,即|ε|=1.

❷任意两个n次单位根的乘积仍是一个n次单位根.

❸若m是整数,则



❹全部n次单位根恰好把复平面上的单位圆n等分,(1,0)是一个分点.
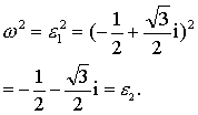
例如,三次单位根


习惯上用ω来表示ε1,则有

所以三次单位根通常表示为1,ω,ω2.
不难验证

|1|=|ω|=|ω2|=1;

1+ω+ω2=0.


在复数平面上标出三次单位根时,它们正好把一个单位圆三等分.
☚ 复数开方法则   数环 ☛
00012020
随便看

 

离鸟网收录3541549条中英文词条,其功能与新华字典、现代汉语词典、牛津高阶英汉词典等各类中英文词典类似,基本涵盖了全部常用中英文字词句的读音、释义及用法,是语言学习和写作的有利工具。

 

Copyright © 2004-2024 vtrois.com All Rights Reserved
更新时间:2026/4/21 19:04:57