网站首页  词典首页


请输入您要查询的字词:

 

字词 H因子的应用计算实例
类别 中英文字词句释义及详细解析
释义 H因子的应用计算实例

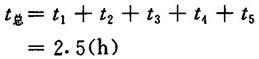
1.应用H因子求保温时间

【例】某厂用硫酸盐法蒸煮木浆,已知原蒸煮工艺升温曲线见图1-2-4上图中实线部分,蒸煮控制温度及时间如表1-2-19。现因某种需要,将前四段的升温曲线作以调整(见图1-2-4上图中虚线部分),且各段控制温度及时间如表1-2-20。若调整后蒸煮最高温度为170℃,硫酸盐木浆的反应活化能为133978J/mol(32kcal/mol),要求浆的硬度及得率与调整前保持不变。求:
❶ 保温时间为多少小时?❷ 调整后比调整前全程节省时间。

表1-2-19 调整前蒸煮各段温度及时间控制

解:
❶ 根据式1-2-38,计算出在各种不同温度时的蒸煮反应速率K值如表1-2-21。根据式1-2-37,经查表1-2-21,可求得调整前各段升温的H因子及总H因子。

表1-2-21 不同温度下的反应速率K

同理,可求得调整蒸煮升温曲线后前四段的H因子为:

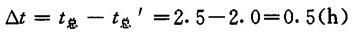
变更前全程时间为:

变更后全程节省时间为:

2.应用H因子求蒸煮最高温度

【例】在上例中,若其它已知条件不变,假设现因某种需要,要求将调整后的蒸煮时间控制在2小时,求第五段保温的最高温度。

解:由上例计算得知,设蒸煮的最高温度为T,最高温度下的发应速率为KT′,则

将己知数据代入并整理得:

解之得: KT′=920

查表1-2-21得,T=170(C)

3.由缩短升温时间求延长保温时间及总节省时间

【例】假定某蒸煮工艺原来用1.5h自80℃升温至170℃,在此温度下保温1.5h,总蒸煮时间为3h;现改为用10min自170℃升至180℃,若要达到与原来相同硬度和得率的纸浆,需在180℃下保温多长时间?(蒸煮硫酸盐木浆)

解:根据H=Kt,求出升温及保温过程的H因子如表1-2-22,并得总H因子为:

表1-2-22 H因子的计算

注:Ⅰ——升温时间1.5h;保温时间1.5h;最高蒸煮温度为170℃。

Ⅱ——升温时间1.67h;保温时间0.55h;最高蒸煮温度为180℃。

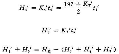
4.降低蒸煮最高温度求需延长蒸煮时间

【例】在上例中,如在正常情况下在170℃的最高温度下,共需3h,如因某种原因蒸煮温度仅能维持160℃,欲获得相同质量的纸浆,应延长多长时间?

解:由表1-2-22可知,升温过程中155~160℃时的H因子为:

而在155℃以前总H因子为:

升温至160℃以前总H因子:

160℃下保温期需达到的H因子:

所需160℃下保温时间为(查表1-2-21,得K160=398):

随便看

 

离鸟网收录3541549条中英文词条,其功能与新华字典、现代汉语词典、牛津高阶英汉词典等各类中英文词典类似,基本涵盖了全部常用中英文字词句的读音、释义及用法,是语言学习和写作的有利工具。

 

Copyright © 2004-2024 vtrois.com All Rights Reserved
更新时间:2026/4/21 4:37:46