网站首页  词典首页


请输入您要查询的字词:

 

字词 is—lm曲线
类别 中英文字词句释义及详细解析
释义
IS—LM曲线

IS—LM曲线IS—LM Curve

凯恩斯模型中表示产品市场与货币市场的一般均衡的两条曲线。它不仅要求这两个市场各自均衡,而且要求它们相互均衡。IS曲线表示产品市场的均衡,LM曲线表示货币市场的均衡,只有在IS曲线与LM曲线的交点所表示的收入与利率组合,才同时满足产品的供求均等和货币的供求均等,即产品市场和货币市场的相互均衡。凯恩斯以前的古典宏观经济模型认为,由于供给会创造自己的需求,普遍生产过剩的经济危机不会发生; 由于货币工资和价格水平具有伸缩性,资本主义的失业可以自行消除,充分就业是正常现象。1929~1933年的经济危机,震撼了整个资本主义世界,同时也从根本上动摇了传统西方经济学的宏观理论体系。空前严重的危机和失业,使那些宣扬资本主义经济可以自行调节到充分就业状态的资产阶级经济学者感到十分难堪。1936年,凯恩斯出版了成名的著作《就业、利息和货币通论》,他认为,传统理论只适用于一种特殊情形,而不适用于一般情形,只有他提出的宏观经济理论才是普遍适用的 “一般理论”,即“通论”。在众多解释《通论》 的文献中,逐渐形成了一个为绝大多数西方学者所接受的属于正统地位的理论体系,即凯恩斯模型,建立凯恩斯模型的主要人物属于新古典综合派。
IS曲线表示在符合产品市场均衡条件下的r(利率)和y(国民收入)之间的函数关系。它是根据投资函数和储蓄函数求取的。产品市场讨论经济社会包括消费品和投资品在内的产品市场的支出行为,它不考虑其他因素的影响,假定消费或储蓄只是收入的函数,投资只是利率的函数。下面三个方程可以表示产品市场的支出行为和关系: 消费函数: c=c(y); 投资函数i=i (r); 均衡条件: y=c (y) +i (r)或i(r)=y-c(y)=s(y),即i(r)=s(y)。i (r)=s (y) 就是产品市场的均衡条件,表明在符合产品市场均衡条件下的r和y函数关系的曲线就称为IS曲线。它可以用图1 (a)、(b)、(c)、(d) 表示的方法来求取。


图1(a)


图1(b)


图1(c)


IS曲线上的每一个点都表示在投资等于储蓄时的收入和利率的一个组合。在产品市场中,IS曲线上的每一个点都表示储蓄等于投资,为了满足产品市场的均衡条件,利率水平必须同收入水平相配合。因此,IS曲线表示的是使投资等于储蓄的收入和利润的各种组合。一般地说,位于IS曲线右方的收入和利率组合,都是投资小于储蓄的非均衡组合; 位于IS曲线左方的收入和利率组合,都是投资大于储蓄的非均衡组合; 只有位于IS曲线上的组合,才是投资等于储蓄的均衡组合。
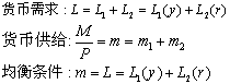
LM曲线表明在满足货币市场均衡条件下利率与国民收入的各种不同的组合。它是根据投资需求函数和交易需求函数求取的。货币市场主要调节经济社会的货币需求和供给行为。凯恩斯认为,如果资本边际效率不变,投资量决定于利率。利率决定于流动偏好和货币数量,流动偏好表示在不同的利息率下,人们的货币需求量的大小,而货币数量是指在流通中的货币的供给量。流动偏好表示人们喜欢以货币形式保持一部分财富的愿望或动机,可分为交易动机、谨慎动机和投机动机。交易动机是指应付日常交易需要而持有一部分货币的动机; 谨慎动机是指为了预防意外的支出而持有一部分货币的动机。表示交易动机和谨慎动机所引起的全部货币需求量L1与收入的函数关系可表示为:L1=L1(y)。投机动机是指人们为了抓住有利的购买生利资产例如债券等有价证券的机会而持有一部分货币的动机。表示投机动机所引起的货币需求量L2的利率和函数关系可以表示为:L2=L2(r)。一般地说,利率高时,货币需求量L2小; 利率低时,货币需求量L2大。因此,全部货币需求量为L=L1+L2=L1(y) +L2(r),它表明L1的数值取决于y,与利率 (r) 无关,而L2的大小则与利率(r)保持方向相反的数量关系,作为L1和L2的总和L,其大小也与r保持方向相反的关系。货币供给是一个国家在某一时点上所保持的不属于政府和银行所有的硬币、纸币和银行存款的总和,这是指名义的货币量M,用价格指数P调整后可以得到实际货币量m,m=M/P,m可分为两部分: 满足交易需求 (包括交易动机和谨慎动机引起的货币需求) 的是m1,满足投机需求的是m2,即m=m1+m2。由于货币的供给量被认为是可以由国家控制的,所以m的大小与利率无关。因此,货币的供给曲线是一条垂线,表明不论利率 (r)为多少,货币供给均可处于一定的水平。货币市场的均衡要求货币需求 (L) 等于货币供给(m)。因此,可以列出下列三个公式:


第三个公式表示在货币市场上供求相等的均衡条件,它也表明在m等于一定值时,y、r之间的函数关系。这个函数关系也就是在满足货币市场均衡条件下的r与y数值的各种不同的配合,表示这种r与y的函数关系的曲线被称为LM曲线。它可以用图2 (a)、(b)、(c)、(d) 表示的方法来求取:


图1(d)


图2(a)


图2(b)


图2(c)


在货币市场中,LM曲线上的每一个点都表示货币供给等于货币需求。为了满足货币市场的均衡条件,利率水平必须同收入水平相配合。因此,LM曲线表示的是使货币供给等于货币需求的收入和利润的各种组合。一般地说,位于LM曲线右方的收入和利率的组合,都是货币需求大于货币供给的非均衡组合; 位于LM曲线左方的收入和利率的组合,都是货币需求小于货币供给的非均衡组合; 只有位于LM曲线上的收入和利率组合,才是货币需求等于货币供给的均衡组合。


图2(d)


图3


IS—LM曲线在IS—LM模型中,IS曲线和LM曲线的交点是产品交易和货币市场的均衡点,这个交点同时决定均衡收入和均衡利率。产品市场上的IS曲线可用方程i (r) =s(Y) 表示,货币市场的LM曲线可用方程m=M/P=L1(y) +L2(r) 表示,两个方程的解就是IS曲线和LM曲线的交点E。收入和利率可以由不均衡自动调整到均衡。IS不均衡会导致收入变动: 投资大于储蓄会导致收入上升,投资小于储蓄会导致收入下降。LM不均衡会导致利率变动: 货币需求大于货币供给会导致利率上升,货币需求小于货币供给会导致利率下降。见图3。
☚ 垄断   一般均衡 ☛
00000232
随便看

 

离鸟网收录3541549条中英文词条,其功能与新华字典、现代汉语词典、牛津高阶英汉词典等各类中英文词典类似,基本涵盖了全部常用中英文字词句的读音、释义及用法,是语言学习和写作的有利工具。

 

Copyright © 2004-2024 vtrois.com All Rights Reserved
更新时间:2026/4/21 5:51:49