F-分布
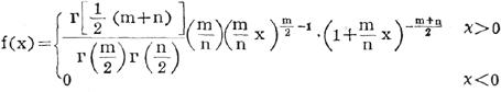
为美国统计学家斯纳德柯(G.W.Snedecor)所推导。 其主要作用是检验方差的同一性。设X , 为独立随机变量,分别服从自由度为m及n的X2分布。则随机变量 具有下列密度函数:  其中:Γ指伽玛函数,称此随机变量服从F分布,或称自由度为(m,n)的F随机变量,记作F(m,n),F-分布的图象为单峰,当m固定时,n愈大则愈接近对称,n愈小则右尾愈长。它的数学期望=n/n-2,(n>2); ,(n>4)。F-分布有一个重要性质:如果x~F(m,n),则 ,这一性质在F检验的计算中很有用。 两个独立N(0,1)的样本估计方差的比值,  它是F检验法的理论依据;F值表也是根据这个分布密度来编订的。 p〔F(m,n)>Fm,n,a〕=a 式中Fm,n,a为上侧分位数。 F-分布经常用于方差分析,回归分析,两正态总体方差对比检验,二项分布的统计估计和统计检验等。 因此,它是统计中的重要分布之一。 |