网站首页  词典首页


请输入您要查询的字词:

 

字词 F检验
类别 中英文字词句释义及详细解析
释义 F检验

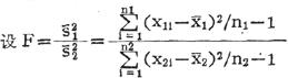
指用服从F分布的统计量所进行的检验,例如对两个正态分布总体的标准差σ1和σ2是否相等所进行的检验。

即检验原假设H0(σ12)是否成立。具体做法:

如果σ12成立,此式服从于第一自由度K1=n1-1,第二自由度K2=n2-1的F分布,

当σ1>σ2时,F有偏大的趋势;当σ1<σ2时,F有偏小的趋势。对于给定的显著水平a,通常选取F1a和F2a使得:

计算出F,再查F-分布表可得F1a和F2ao当F≤F1a或F≥F2a时,拒绝H012),当F1a≤F≤F2a时,接受原假设H012)。

随便看

 

离鸟网收录3541549条中英文词条,其功能与新华字典、现代汉语词典、牛津高阶英汉词典等各类中英文词典类似,基本涵盖了全部常用中英文字词句的读音、释义及用法,是语言学习和写作的有利工具。

 

Copyright © 2004-2024 vtrois.com All Rights Reserved
更新时间:2026/4/21 20:04:39