网站首页  词典首页


请输入您要查询的字词:

 

字词 F分布
类别 中英文字词句释义及详细解析
释义 F分布

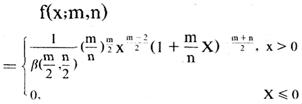
设随机变量X与Y独立,且X~,则

的分布称为自由度为m和n的F分布,并记作F~Fmn

其分布密度为:

其中:为贝塔函数。F分布首先由英国统计学家费雪(R.A.Fisher)在试验设计问题的研究中提出,并由此提出方差分析。该分布与X2分布、t分布同为样本的精确分布。

在现代统计学的统计推断、时间序列及多元统计分析中,具有广泛的应用。

随便看

 

离鸟网收录3541549条中英文词条,其功能与新华字典、现代汉语词典、牛津高阶英汉词典等各类中英文词典类似,基本涵盖了全部常用中英文字词句的读音、释义及用法,是语言学习和写作的有利工具。

 

Copyright © 2004-2024 vtrois.com All Rights Reserved
更新时间:2026/4/20 16:27:24