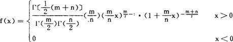
F—分布
美国统计学家史内德柯提出。 其主要作用是检验方差的同一性。设 、 为独立随机变量,分别服从自由度为m、n的x2一分布。则随机变量 具有下列密度函数:  其中:Γ指伽玛函数,称此随机变量服从F-分布,或称自由度为(m,n)的F随机变量,记作F'm,n,F-分布的图象为单峰,当m固定时,n愈大则愈接近对称,n愈小则右尾愈长。它的数学期望=n/n-2,(n>2);方差= ,,(n>4)。 F-分布有一个重要性质:如果x~F(m,n),则 ~F(n,m),这一性质在F检验的计算中很有用。 两个独立N(0,1)的样本估计方差的比值,  它是F检验法的理论依据;F值表也是根据这个分布密度来编订的。 P〔F(m,n)>Fm,n,α〕=α 式中:Fm,n,α为上侧分位数。在方差分析、回归分析、二项分布的统计估计和统计检验、两正态总体方差对比检验等中,经常用到F-分布。 故F-分布是统计中的一个重要分布。 |