网站首页  词典首页


请输入您要查询的字词:

 

字词 2,4,5-涕
类别 中英文字词句释义及详细解析
释义

2,4,5-涕2,4,5-T

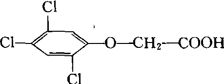
苯氧乙酸类激素型内吸除草剂。化学名称:2,4,5-三氯苯氧乙酸。化学结构式如下。纯品为白色结晶体,熔点156.6℃。微溶于水,溶于丙酮、乙醇和乙醚。其碱金属和胺盐溶于水,不溶于矿油。性质稳定。可被植物的根、茎和叶部吸收,影响植物的全部生命过程,植物表现畸形,导致死亡。2,4,5-涕中所含的杂质二噁英有催畸作用,故已被许多国家禁用。

随便看

 

离鸟网收录3541549条中英文词条,其功能与新华字典、现代汉语词典、牛津高阶英汉词典等各类中英文词典类似,基本涵盖了全部常用中英文字词句的读音、释义及用法,是语言学习和写作的有利工具。

 

Copyright © 2004-2024 vtrois.com All Rights Reserved
更新时间:2026/4/20 6:21:38