网站首页  词典首页


请输入您要查询的字词:

 

字词 DW检验
类别 中英文字词句释义及详细解析
释义 DW检验

关于随机变量一阶线性序列相关(自相关)的一种检验。

它是由德宾(Durbin)和瓦森(Watson)提出的。随机变量e的一阶线性自相关可写为:

et=pet-tt

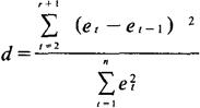
式中,p为自相关系数,εt系均值为0、无自相关的随机变量。DW检验是关于上式中的p的某一假设的检验。其检验指标是:

d的值介于0与4之间。

对于假设p=0,德宾和瓦森给出了0.5和0.1显著水准的d的上限du和下限dI。如果实际观察到的d*小于dL或大于4-dL,则拒绝原假设。如果d*界于du和4-du之间,则接受原假设。如果dL<d*<du或者4-du<d*<4-d1,则无结论。

随便看

 

离鸟网收录3541549条中英文词条,其功能与新华字典、现代汉语词典、牛津高阶英汉词典等各类中英文词典类似,基本涵盖了全部常用中英文字词句的读音、释义及用法,是语言学习和写作的有利工具。

 

Copyright © 2004-2024 vtrois.com All Rights Reserved
更新时间:2026/4/17 18:46:00