网站首页  词典首页


请输入您要查询的字词:

 

字词 1715年
类别 中英文字词句释义及详细解析
释义

1715年

陈世仁著《少广补遗》1卷,专论垛积术。


1715年

藏文历算著作 《解释金本质》成书。


1715年

格雷厄姆发明钟表的静止或擒纵机构,即圆筒型擒纵轮、水银校正摆,弥补了后退式擒纵结构的不足,为发展精密钟表打下了基础。
Z.格雷尔发明“灭火弹”,是一些小桶,滚进火中爆炸而喷出水来灭火,可视为灭火器的前身。
哈雷研制成功用泵送气的潜水箱,并且他与另外4人在18米深的水中停留了1个小时。


1715年

约翰·伯努里用明确的、普遍公式化的方式表述了虚功原理:如果诸力平衡时,力及力方向上的虚速度乘积之和必为零,他称之为“能量”。这是第一次出现的类似现代“功”的概念。


1715年

哈雷发表关于蒸发研究的论文,认为没有出口的海或湖泊,其水必不断上涨,直到表面蒸发造成的损失恰好抵消流入的水。鉴于此,提出根据海洋盐度推测地球年龄的著名设想。
华伦海特[德]和莱布尼茨合作制成测定大海经度的时钟。


1715年

约瑟夫·艾迪生创办了辉格党政治刊物《地产保有者》。


1715年

法国国王路易十四逝世,其曾孙路易十五继位,时年仅5岁,由奥尔良公爵摄政。
英国的詹姆斯党人发动叛乱,推举詹姆斯 ·爱德华为英格兰的詹姆斯三世、苏格兰的詹姆斯八世。
波兰贵族发动反对奥古斯都二世的叛乱,历时2年始平息。


1715年

雅各布·伯努里著《推测术》一书出版。书中公布了当时重要的伯努里试验结果,并且提出作为大数定律最初形式的伯努里定理:=1。这是把概率论建立在稳固的数学基础上的初次尝试,也是概率论发展史上的一件大事。
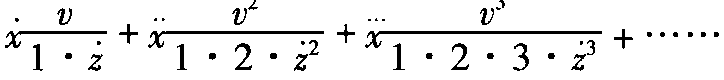
布鲁克·泰勒著《正的和负的增量方法》一书出版。书中正式以下述形式给出并证明了著名的定理,但没有讨论收敛性问题: x(z+v)=x+,其中v为独立变量的增量,x和z为流数,他假定z随时间均匀变化,则z为常数,从而上述公式等价于现代形式的泰勒定理:f(x+h)=f(x)+hf′(x)+h/2!f″(x)+……。这样,泰勒成为有限差分理论的奠基人;另外,在求解一阶二次方程时发现,奇解不能通过给积分常数以一个确定值的方法从通解得到,即它不是特解。
约翰·伯努里引用了现在通用的3个坐标平面。
雷甫生[英]著《流数法的历史》出版,这是一本关于微积分的历史的专著。


1715年

1月,日本颁布关于长崎贸易的《正德新令》。4月,日本颁布新商法,限定中国商船每年进口数为30艘,贸易额为6000贯,发给船主信牌为证。
英国东印度公司在广州设立固定商馆,定期派遣船只,并与中国广州海关签订了自由贸易约定八项。
东印度公司派代表携带3万镑重礼,觐见印度莫卧儿皇帝,要求在莫卧儿印度全境及加尔各答附近的商业特权。


1715年

3月9日,葡萄牙批准《乌得勒支条约》,结束了同西班牙的战争。
4月15日,普鲁士、萨克森、波兰、汉诺威和丹麦结成联盟,对瑞典的战争开始。
俄国侵占额尔齐斯河流域的土地,并在鄂木斯克和塞米巴拉丁斯克建筑城堡,作为继续向前进攻之基地。
土耳其军队夺回希腊莫利亚半岛,并将威尼斯人从克里地岛的干地亚逐出。
法国占领毛里求斯岛,更名为法兰西岛。
印度旁遮普锡克教民起义,旁遮普实质上脱离了莫卧儿帝国。


1715年

维厄桑出版《人体内的液体》和《心脏结构和运动》两书,对心脏左心室结构、大冠状静脉和冠状脉管中血液流动等首次作了正确描述,并对心血管系统疾病的临床症状作了系统的观察。


工程技术


1715年

苏州试种双季稻,次年推广“李英炎种稻法”。
广东海关与英国东印度公司约定。许其在广东自由贸易、雇佣中国人、购买衣物及其他必需品;为修理船帆等允许在岸上支一帐篷;悬英国旗的舢板驶过关口不予检查,海员衣袋不受搜查等8项条约。
6月,因进军准噶尔军中粮务重要,估计需银3百万~4百万两,康熙命户部动用库银运送。


1715年

4月,策妄阿喇布坦以阴违约束,率兵2000余犯哈密。康熙帝命肃州总兵等驰驿往救,哈密游击击败之,敌兵退驻城南。


1715年

6月,理藩院就清廷进兵准噶尔部事咨文俄国西伯利亚总督等,照令可收留该部逃民,但应送来1人,以便讯获消息。


1715年

亟斋居士的中医妇科学专著《达生篇》刊印。其中专门讨论了难产问题,对难产的处理原则明确而又实用,某些观点与现代医学类似,此著作在清代有广泛的影响。


1715年

康熙帝将育成的早熟水稻品种即“御稻”种子一石运到苏州,令转发附近地方试种。


1715年

清廷派遣雷孝思往云南和费稳同测云南、贵州、湖北和湖南,至1717年2月完成任务后返京。
设计制造地平经纬仪,由德国传教士纪理安主持。


1715年

4月,图理琛使团自土尔扈特部经俄国返京,往返近4年。编成记述途中所见山川、民风、物产的《异域录》一书。
蒲松龄卒。蒲著有《聊斋志异》等书。

随便看

 

离鸟网收录3541549条中英文词条,其功能与新华字典、现代汉语词典、牛津高阶英汉词典等各类中英文词典类似,基本涵盖了全部常用中英文字词句的读音、释义及用法,是语言学习和写作的有利工具。

 

Copyright © 2004-2024 vtrois.com All Rights Reserved
更新时间:2026/4/20 3:59:47