网站首页  词典首页


请输入您要查询的字词:

 

字词 1714年
类别 中英文字词句释义及详细解析
释义

1714年

英国讽刺作家曼德维在《道德来源探索》一文中,提出了不道德矛盾论,成为自由放任思想的先驱。
德意志的西尔德布尔格豪森建立骑士学院。
英国罗杰·诺思在伦敦出版了《绅士会计》一书,论述了传统的主要簿记制度。
俄国设立彼得堡图书馆。


政法


1714年

3月,钦天监设计并铸成星晷仪、四游表半圆仪、矩度象限仪、方矩象限仪等一大批天文仪器。
5月15日,康熙帝提出,古历法规模虽好,但计算年代过长,数据便不精确,因此现今修订历书,应依据古之规模,使用现今得到的数据为佳。7省测量北极高度及日景。
藏文历算著作《日光》成书。


地学


1714年

伍德沃德发表《图解大地自然史》3卷。
牛顿提议对设计出在海上测定经度的人实行奖励。英国成立经度局并悬赏1万~2万镑奖金,征求不同精密程度的经度测量法。
莱布尼茨鼓动在基尔完成对大气压和天气状况的观察。这些观察旨在检验气压计预报天气的可能性。


生物学


1714年

布鲁克·泰勒[英]发表振动中心问题解法的论文,并给出弦振动频率公式。华伦海特[德]以水银代替酒精,发明了水银温度计,使液体温度计得到关键性进展。它以水的冰点为32°,气点为212°,中间分为180°的分度,是至今仍延用的华氏温度计。同时,他发明了一种净化水银的方法,使水银不至于黏在细管壁上,因而使之获得了实际应用。


天文学


1714年

3月,西藏达赖喇嘛、拉藏汗派遣使者赴京进贡。
噶礼之母曾向康熙面奏其子贪婪淫奢等恶行,噶礼遂欲谋杀其母,康熙命噶礼自尽。
7月,土尔扈特阿玉奇汗迎接图理琛使团一行,沿途台吉僧民隆重欢迎。


经济

1712年 4月,清帝诏示: 以1711年全国人丁数2 462万人、丁银335万两为准,实行“滋生人丁永不加赋”。
清廷令清查四川隐漏田赋。


1714年

7月,理藩院咨文俄西伯利亚总督,重申俄商来华人数限额,不准派400人来华,若所携货物过多可酌加20人。
8月,理藩院许俄商祖巴科夫等28人入境,并规定以后凡来华贸易须持有西伯利亚总督印记执照,否则遣回。


军事


1714年

因威尼斯在门的内哥罗煽动叛乱并入侵波斯尼亚,奥斯曼土耳其向威尼斯宣战。
俄国海军打败了芬兰湾上的瑞典舰队,直逼首都斯德哥尔摩,瑞典被迫求和。


1714年

法国和神圣罗马帝国签订《拉什塔特和约》。神圣罗马皇帝获那不勒斯、米兰、曼图亚、撒丁和西属尼德兰(今比利时),并允巴伐利亚选侯复位。但西班牙与神圣罗马帝国仍处于战争状态。
西班牙势力退出意大利,奥地利在意大利的统治开始确定。
柬埔寨发生王位争夺之战。
8月1日,英国斯图亚特王朝最后一代君主、安妮女王逝世。依据《王位继承法》,汉诺威选侯即位英王,称乔治一世,汉诺威王朝统治开始。乔治一世因不懂英语,常不出席枢密院会议,枢密院逐渐成为掌握国家政务的内阁。
9月7日,神圣罗马帝国批准《乌得勒支条约》,并同法国签订《巴登和约》,规定法国保留阿尔萨斯和斯特拉斯堡。
11月,瑞典王查理回到波美拉尼亚后,大力实行行政、财政改革,以军事力量作为外交的后盾。
查理十二回国后,再次发动战争。俄国、丹麦、普鲁士、萨克森和汉诺威各国群起而反对瑞典。


经济


1714年

12月,划定北方海上防汛界线。铁山、旅顺等处属盛京海汛,南北城隍岛、庙岛等处属山东海汛。盛京将军及山东总兵官各拨战船10艘巡查。


1714年

亨利·密斯发明打字机并获专利。
钱伯斯[英]著《工艺与科学词典》在英国出版。


1714年

阿尔及利亚允许外国商站自由输出粮食。


军事


1714年

欧斯塔基[意]的解剖图谱遗著用铜版制图出版,他发现了咽鼓管(欧氏管)和心脏的欧氏瓣,对交感神经也作了精细图解,还详细记述了肾脏和牙齿的构造。


工程技术


1714年

12月23日,《律吕正文》一书编成。其中介绍了西方数学和音乐知识,总结了中国传统的数学、音乐成就。其续编《协均度曲》,系统说明了五线谱的含义和用法,是中国最早介绍欧洲乐理知识的中文著作。


天文学


1714年

5月,清廷令:凡坊肆小说淫词,一律严禁且查绝,违者按律治罪。
清改革武举考试,欲招收文武皆备之人才。


政法


1714年

4~5月,冯秉正、雷孝思等所率人员测量了河南、江苏、浙江和福建,并且测绘了台湾西部地图; 麦大成、汤尚贤又转到江西、广东和广西工作;费稳等负责四川、云南的测绘工作。
清政府在同年又派遣喇嘛楚尔沁藏布兰布占巴和理藩院主事胜住同往西藏测绘。


医学


1714年

莱布尼茨作《微分学的历史和起源》一书,书中他涉及自己思想发展的记述。
科特斯[英]发表复数定理,即,导出了指数函数与三角函数的关系,使得弄清什么是复数的对数成为可能。
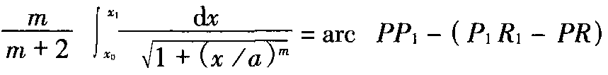
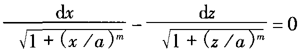
法格纳诺[意]通过研究曲线y=(2/m+2)xm+2/2/am/2(m为有理数)而得到和m/m+2其中x0、x1分别是P与P1的横坐标,PR和P1R1分别是P、P _ ((1))点处曲线的切线。若x与z有关系:=0,则两定积分之差,则两定积分之差为0,即arc QQ1-arc PP1=(Q1S1-QS)-(P1R1-PR),因此证明并提出了在椭圆上如同在抛物线上一样,可以找出无穷多段弧,其差可用代数式表示,虽然单个的弧长不能求(图)。他还致力于用椭圆和双曲线弧求双纽线的弧长。


法格纳诺曲线


物理学

随便看

 

离鸟网收录3541549条中英文词条,其功能与新华字典、现代汉语词典、牛津高阶英汉词典等各类中英文词典类似,基本涵盖了全部常用中英文字词句的读音、释义及用法,是语言学习和写作的有利工具。

 

Copyright © 2004-2024 vtrois.com All Rights Reserved
更新时间:2026/4/19 11:02:00