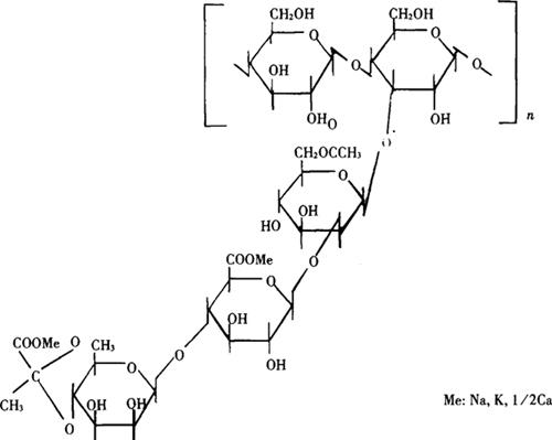
结构式:

相对分子质量:(5~50)×106
一、黄原胶的鉴别
1.试剂和溶液
槐豆胶(鉴别专用)。
2.操作步骤
2.1 溶解性试验 醚溶于水,不溶于醇、酮、醚等有机溶剂。
取样品1g,慢慢倾入装有25℃100mL温水的烧杯中,浸泡15min后,小心将搅拌棒浸入水中,慢慢开启搅拌至200r/min,25min后即可完全溶解。按上述方法将样品加入乙醇、丙酮、乙醚中不溶解。
2.2 鉴别试验 加300mL水于1个500mL烧杯中,预热到80℃,开启搅拌至200r/min,边搅拌边加入干燥样品和槐豆胶各1.5g,至混合物形成溶液后,继续搅拌30min以上(搅拌过程中水温不低于60℃)。停止搅拌,在室温下至少冷却2h,当温度降到低于40℃时,形成凝胶状物。按上述方法制备1%的样品溶液作为对照,不加槐豆胶,无此胶状物出现。
二、黄原胶的定量
按二氧化碳测定法(脱羧法)测定,每毫升0.25mol/LNaOH相当于5.5mgCO2。