网站首页  词典首页


请输入您要查询的字词:

 

字词 高阶线性微分方程
类别 中英文字词句释义及详细解析
释义

高阶线性微分方程


二阶齐次线性微分方程的通解定理 形如

的方程称为n阶非齐次线性微分方程,ai(x)(i=1,…,n)为已知函数.当f(x)恒为0时,即

y(n)+a1(x)y(n-1)+a2(x)y(n-2)+…+an-1(x)y′+an(x)y=0

称为n阶齐次线性微分方程,当n=2时,为

yn+a1(x)y′+a2(x)y=0.

二阶齐次线性微分方程的一些结论.适用于n阶齐次线性微分方程.

同样,二阶非齐次线性微分方程的一些结论也适用于n阶非齐次线性微分方程.

如果y1(x)与y2(x)是方程

y′+a1(x)y′+a2(x)y=0

的解,则y=c1y1(x)+c2y2(x)也是方程的解,其中c1,c2是任意常数.当y1(x)与y2(x)线性无关时,则y=c1y1(x)+c2y2(x)是y″+a1(x)y′+a2(x)y=0的通解.

y1(x)与y2(x)线性无关是指:在区间I上,如果存在不同时为零的常数λ,μ,使λy1(x)+μy2(x)=0,则称y1(x),y2(x)在I上线性相关;否则,称y1(x),y2(x)在I上线性无关.

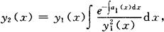
二阶齐次线性微分方程解的求法 设y1(x)是二阶齐次线性微分方程的解,则另一个与之线性无关的特解为

由此可得该二阶齐次线性微分方程的通解y=c1y1(x)+c2y2(x).

二阶非齐次线性微分方程通解的结构定理 如果Y(x)是二阶非齐次线性微分方程

y″+a1(x)y′+a2(x)y=f(x)

的一个解,且c1y1(x)+c2y2(x)是其对应的齐次方程

y″+a1(x)y′+a2(x)y=0

的通解,则二阶非齐次线性微分方程的通解是

y=Y(x)+c1y1(x)+c2y2(x).

二阶非齐次线性微分方程一个特解的求法 设y1,y2是二阶齐次线性微分方程的两个线性无关的解,那么二阶非齐次线性微分方程的特解为

y=c1(x)y1+c2(x)y2

其中c1(x),c2(x)是下列方程组的解:

例 求解方程y″+y=secx的通解.

解 显然sinx,cosx是二阶齐次方程y″+y=0的两个线性无关的解,设其特解为Y=c1(x)sinx+c2(x)cosx,其中c1(x),c2(x)是下列方程组的解:

解得c′1(x)=1,c′2(x)=-tanx.各取一个原函数c1(x)=x,c2(x)=ln|cos.x|,所以原方程的通解为

y=c1sinx+c2cosx+cosxln|coSx|.

二阶常系数齐次线性微分方程的通解 设二阶常系数齐次线性微分方程是

y″+a1y′+a2y=0,

其中a1,a2为常数.其通解为

(1)当特征方程r2+a1r+a2=0有两个不相等的实根m1,m2时,方程通解为

y=c1em1x+c2em2x

(2)当特征方程r2+a1r+a2=0有重根m1=m2=m时,其通解为

y=(c1rc2x)emx

(3)当特征方程r2+a1r+a2=0有复根m1=α+iβ,m1=α-iβ时,其通解为

y=(c1cosβx+c2sinβx)eαx

n阶常系数齐次线性微分方程的通解 设n阶常系数齐次线性微分方程为

y(n)+a1y(n-1)+a2y(n-2)+…+an-1y′+any=0.

其特征方程为

rn+an-1rn-1+…+an-1r+an=0,

其中ai(i=1,…,n)为常数.

其通解的构成如下:

(1)特征方程每一个实单根m对应着一个特解emx

(2)特征方程每一个单共轭复根α±iβ,对应着两个特解:

eαxcosβx,eαxsinβx.

(3)特征方程每一个r重实根m对应着r个特解:

emx,xemT,x2emx,…,xr-1emx

(4)特征方程每一个r重共轭复根α±iβ,对应着2r个特解:

eαxcosβx,eαxsinβx,xeαxcosβx,xeαxsinβx,…xr-1eαxcosβx,xr-1eαxcosβx.

例 求方程的通解.

解 特征方程为

r5+r4+2r3+2r2+r+1=0,

(r+1)(r2+1)2=0.

特征方程有5个根:-1是实单根,±i是二重复根,所以通解为

y=c1e-x+(c2+c3x)cosx+(c4+c5x)sinx.

二阶常系数非齐次线性微分方程的一个特解求法

(1)当.f(x)=eλxPm(x)时,λ为常数,Pm(x)为x的m次多项式.则其特解为

y=xkeλxQm(x), (1)

其中Qm(x)为x的m次待定多项式,如果λ不是其特征方程的根取k=0;λ是特征根时,k等于特征根的重数.

将(1)式代入原方程,使之恒等定出Qm(x),从而得到原方程的特解.

(2)当.f(x)=eλx(Pl(x)cosωx+Pn(x)sinωx)时,λ为常数,Pl(x),Pn(x)分别为x的l次和n次的多项式,其特解为

其中均为x的t次多项式,且t=max(l,n),如果λ+iω不是其特征方程根时,取k=0,否则取k等于特征根λ+iω的重数.

欧拉方程 形如

xny(n)+a1xn-1y(n-1)+…+an-1xy+any=f(x)

的方程称为n阶欧拉方程,其中ai(i=1,2,…,n)为常数.

二阶欧拉方程为

x2y″+a1xy′+a2y=f(x).

设x=e,则t=lnx,有,代入方程即可化常系数线性方程.

微分算子法 令,称D,D2,…,Dn为微分算子,则

y(n)+a1y(n-1)+…+an-1y′+any=f(x) (1)

可写为

Dny+a1Dn1y+a2Dn-2y+…+an-1Dy+any=f(x),

记作

(Dn+a1Dn-1+a2Dn-2+…+an-1D+an)y=f(x).

记 Pn(D)=Dn+a1Dn-1+…+an-1D+an,则n阶常系数非齐次微分方程可记为

Pn(D)y=f(x).

Pn(D)称为算子D的n次多项式.算子D有下列规律:

(1)Pn(D)eλx=eλxPn(λ);

(2)Pn(D)Q(x)eλx=eλxPn(D+λ)Q(x);

(3)是积分符号,是连续两次积分等,其中f(x)为x的多项式.

(4)要化为D的升幂级数,其中f(x)为x的多项式.

微分算子法是求常系数非齐次线性微分方程的一个特解的方法.

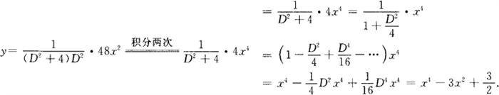
例1 求y(4)+4y″=48x2的特解.

解 将方程写为算子形式:

(D1+4D2)y=48x2

做形式运算得

利用算子规则有特解

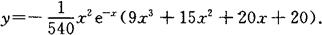
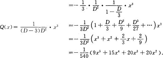
例2 求的特解.

解 写为算子形式,有

(D-3D-2)y=x3e-x

因λ=-1是特征方程r3-3r-2=0的二重根,故设其特解为y=Q(x)e-x,其中Q(x)为x的五次多项式,则

原方程为

e-x(D-3)D2Q(x)=x3e-x

特解为

常系数线性微分方程组的解法

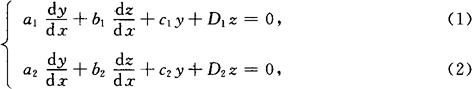
(1)齐次方程组

其中ai,bi,ci,Di(i=1,2)均为常数.

由(1),(2)解出(它们均由y,z表示),记为

由(3)解出z代入(4),得到关于y的二阶常系数齐次方程,从而解得y,再代入(3)而得z.

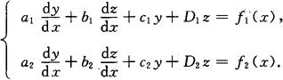
(2)非齐次方程组

仿齐次方程组的解法.

随便看

 

离鸟网收录3541549条中英文词条,其功能与新华字典、现代汉语词典、牛津高阶英汉词典等各类中英文词典类似,基本涵盖了全部常用中英文字词句的读音、释义及用法,是语言学习和写作的有利工具。

 

Copyright © 2004-2024 vtrois.com All Rights Reserved
更新时间:2026/4/20 11:22:03