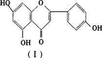
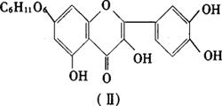
主要着色成分为:(Ⅰ)5,7,4′-三羟基黄酮和(Ⅱ)3,5,3′,4′-四羟基黄酮-7-葡萄糖苷。
结构式

分子式:C15H10O5
相对分子质量:270.24
结构式

分子式:C21H20O12
相对分子质量:464.38
一、高粱红的鉴别
1.试剂和溶液
1.1 氨水。
1.2 甲醇 分析纯。
1.3 1%三氯化铝甲醇溶液。
1.4 乙醇 分析纯。
1.5 镁粉。
1.6 盐酸 分析纯。
2.操作步骤
2.1 取本品水溶液少许,滴于滤纸上,干后置于氨蒸气中,样点转变为橙黄色,立即置于紫外灯光下观察,呈黄绿色荧光。
2.2 取本品少许,溶于甲醇中,加1%三氯化铝甲醇溶液,呈鲜黄色。
2.3 将本品溶于95%乙醇中,取1mL于试管中,加入镁粉,再加入浓盐酸数滴,溶液呈红色。
2.4 本品水溶液最大吸收峰为500nm。
二、高粱红的吸光度测定
1.试剂和溶液
1.1 乙醇 分析纯。
1.2 盐酸 分析纯。
1.3 40%乙醇-盐酸溶液(pH3.0) 用去离子水配制40%乙醇溶液,用浓盐酸调节pH3.0。
2.仪器
分光光度计。
3.测定方法
精确称取样品0.15g(准确至0.001g),用40%乙醇-盐酸溶液(pH3.0)定容至100mL。从中取5.0mL,再以40%乙醇-盐酸溶液(pH3.0)定容至100mL。以40%乙醇-盐酸溶液(pH3.0)为参比液,以1cm比色皿在波长490nm处测定样品的吸光度A。

式中 A——吸光度
f-稀释倍数
m——样品质量