网站首页  词典首页


请输入您要查询的字词:

 

字词 高次谐波对电力电容器的影响及消除措施
类别 中英文字词句释义及详细解析
释义

高次谐波对电力电容器的影响及消除措施


由于愈来愈多的采用大容量晶闸管整流器作为拖动和直流电源,其高次谐波对于系统的影响日益增加,尤其对并接于系统的电力电容器,高次谐波可能使电容器过负荷,有时可达几倍以上。

一般采用的消除措施有下述几种:

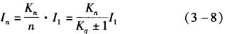
(1)增加整流相数,消除低高次谐波分量。晶闸管整流装置交流电源侧含有的高次谐波电流可用下式表示:

式中 In——高次谐波电流(A);

I1——基波电流(A);

n——谐波次数;

Kn——由控制角a和重叠角r确定的常数,当重叠角r为零时,Kn=1;

q——整流相数,即整流电压脉动次数;

K——任意整数。

由上式可知高次谐波电流与整流相数有关,相数增多,高次谐波的最低次数变高,而谐波电流的幅值却变小。一般使用的可控硅整流装置,大部分是6相,为了降低高次谐波电流,可以改用12相或36相。当采用12相整流时,高次谐波电流只占有全电流的1%,采用36相时则更小。

(2)当两台以上整流变压器由同一段母线供电时,可将整流变压器的一次绕组分别交替接成星形和三角形,这样5次、7次谐波可互相抵消,而只需考虑11次、13次谐波的影响。

(3)装设由电容电感串接组成的高次谐波滤波器,分别对各次谐波串联谐振,从而去掉电源上高次谐波电压分量。滤波器都并接在整流变压器一次侧电网上。

(4)在电力电容器回路中串联一组电抗器,其感抗值的选择,应满足在可能产生的任何谐波下,均使电容器回路的总电抗为感抗而不是容抗,从而根本上消除了产生谐振的可能。电抗器感抗值按下式计算:

式中 Xc——电力电容器的基波容抗(Ω);

n——可能产生的最低谐波次数;

K——可靠系数,一般取1.2~1.5。

对6相整流线路,n=5,则

为了防止可能出现的铁磁谐振,一般宜采用无铁芯的电抗器。电抗器的额定电流应稍大于电容器的实际电流。但应注意,由于串联电抗器的结果,加于电容器上的端电压升高,其值为:

式中 Ue——系统额定电压(V)。

对于5次谐波,端电压升高可达107%。所以电容器的额定电压应稍高于系统电压。对于6.3kV系统应采用6.6kV的电容器;对10.5kV系统应采用11kV的电容器。

(5)为了防止并联谐振的危害,采用高于系统电压10%的电容器直接与整流器并联,这样谐振频率的谐振电流虽然可能达到电容器基波电流的1.45倍(也就是均方根电流之和可达到基波电流的1.45倍),但由于系统电压低于电容器的额定电压,因而基波电流为额定电流的90%,均方根电流之和为额定电流的1.3倍左右,也就是没有超过电容器的允许电流值。但应校验是否会产生串联谐振而造成严重过负荷的可能。此外,这样做的结果,较多地损失掉电容器的容量(实际系统补偿的无功负荷为电容器额定容量的81%),因此,必须经过技术经济比较再确定。

(6)根据既定条件适当的选择电容器安装地点和容量,使之避开谐振条件,在可能条件下这样做是最经济的。不过,在运行中由于系统阻抗变更,仍然可能出现谐振。

随便看

 

离鸟网收录3541549条中英文词条,其功能与新华字典、现代汉语词典、牛津高阶英汉词典等各类中英文词典类似,基本涵盖了全部常用中英文字词句的读音、释义及用法,是语言学习和写作的有利工具。

 

Copyright © 2004-2024 vtrois.com All Rights Reserved
更新时间:2026/4/21 18:54:57