网站首页  词典首页


请输入您要查询的字词:

 

字词 高压电器的选择
类别 中英文字词句释义及详细解析
释义

高压电器的选择


为了保证高压电器的可靠运行,高压电器应按正常工作条件下的额定电压、额定电流等来选择,并按短路电流校验动稳定和热稳定,对断路器和熔断器还要按断流容量选择。此外,尚应根据安装、使用的环境条件(如环境温度、海拔高度、空气介质状况等)选用不同类型的高压电器(如户内型、户外型、热带型、加强绝缘型等)。

对有些电器的选用还要作更多的考虑,如断路器、开关的操作频繁程度、互感器的负载和准确等级、熔断器的上下级选择性配合等。

1.校验项目

选择高压电器时应校验的项目见表5-31。

表5-31 选择高压电器时应校验的项目

注:表中“〇”为选择电器时应进行校验的项目。

2.选择原则

高压电器的选择原则有以下几点:

(1)按工作电压和工作电流选择:电器的额定电压或最高工作电压不应小于所在回路的工作电压。熔断器、避雷器、电压互感器的额定电压应符合所在回路的工作电压。

电器的额定电流不应小于该回路的工作电流。

当电器的额定环境温度与实际环境温度不一致时,电器的最大允许工作电流按表5-32修正。

表5-32 高压电器最高工作电压及在不同环境温度下的允许最大工作电流

表中 Ue——高压电器额定电压(kV);

Ie——高压电器额定电流(A);

θ——实际环境温度(℃);

θe——额定环境温度,普通型和湿热带为+40℃,干热带型为+45℃。

(2)按断流容量选择:断路器、熔断器及带熔断器的负荷开关的额定断流容量(或额定开断电流)不应小于装设处的超瞬变(即次暂态,下同)短路容量(或超瞬变短路电流)。

(3)高海拔地区的高压电器:高海拔对电器的影响,主要是温升和外绝缘的问题。

当海拔升高时,空气密度降低,散热条件变坏,使高压电器在运行中温升增加,但空气温度则随海拔高度的增加而相应递减,其值足以补偿由海拔升高对电器温升的影响,因而高压电器在高海拔地区(不超过4000m)使用时,其额定电流可以保持不变。

海拔升高,气压随之降低,空气绝缘强度减弱,使电器外绝缘降低而对内绝缘没有影响。

当海拔为1000~2000m时,对用于3~10kV的变压器、断路器、互感器等电器,其绝缘尚有一定裕度,实际运行中未发现由于高海拔影响而造成绝缘事故,因此在设计中可暂时采用一般产品。

当海拔为2000~3500m时,对用于3~10kV的高压电器,暂时采用额定电压提高一级的办法来增加绝缘强度,或与制造厂协商解决。

避雷器的问题比较复杂,因为避雷器不密封,其火花间隙的放电电压易受空气密度影响,所以要注明海拔高度向制造厂提出特殊订货要求。目前已生产高原系列阀型避雷器,基本上可以解决这个问题。

3.选择高压电器的一些问题

(1)油断路器:当油断路器用于自动重合闸时,如果该产品说明可作自动重合闸使用,则其断流量不必降低,否则,要与制造厂协商作适当的降低。

少油断路器断流量与操动机构型式有关。当配用的是电动操动机构或弹簧操动机构,其断流量为额定值。如果配用手力操动机构,其断流量应按制造厂的规定适当降低,如SN10-10型配用手力操动机构时,其开断电流不大于6kA。

频繁操作的断路器,宜采用真空断路器。

(2)熔断器:使用充石英砂的熔断器(如RN系列)时,其工作电压要与额定电压相符,不应降低电压使用。例如额定电压10kV的就不能用于6kV的线路上。

(3)跌落式熔断器:选择户外跌落式熔断器时,要使被保护线段的三相短路电流计算值大于其断流容量的下限值。如三相短路电流计算值小于其断流窗口量的下限值时,则所产生的气体有可能不足以灭弧。

(4)限流电抗器:限流电抗器的电抗值要满足下列要求:

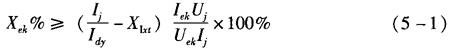
①将电抗器后的短路电流限制到最大允许值以内,这时,电抗器的额定电抗百分数按下式计算:

②在电抗器后短路时要使母线剩余电压保持一定水平,这时,额定电抗按下式计算:

式中 Xek(%)——电抗器在其额定参数条件下的额定电抗百分数;

Uj——基准电压,取连接电抗器线路的平均额定电压(kV);

Ij——基准电流(kA);

Xlxt——电抗器前的系统电抗标幺值,以Uj、Ij为基准;

Uek——电抗器额定电压(kV);

Iek——电抗器额定电流(kA);

Idy——短路电流的最大允许值(kA);

uy(%)——母线必须保持的剩余电压百分数,一般大于60%~70%;

I——电抗器后短路时超瞬变短路电流值(kA)。

对母线分段电抗器以及其他具有快速保护的馈电线电抗器,不必验算额定电抗。

随便看

 

离鸟网收录3541549条中英文词条,其功能与新华字典、现代汉语词典、牛津高阶英汉词典等各类中英文词典类似,基本涵盖了全部常用中英文字词句的读音、释义及用法,是语言学习和写作的有利工具。

 

Copyright © 2004-2024 vtrois.com All Rights Reserved
更新时间:2026/4/21 4:05:28