在量值传递时,要求高一等标准的不确定度可以略去。
可以略去的原则是要求略去影响小于不略去结果的1/10。
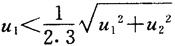
若高一级标准的标准不确定度分量为u1,其余标准不确定度分量为u2,则它们无关时

由

可得

取满足上式最小正整数3,得

即高一等标准不确定度只须为合成标准不确定度的
,即可略去。
若u1,u2完全正相关,
变为
。
在计量工作中,考虑以上两种情况,高一等标准不确定度宜取为低一等标准不确定度的
。
【参考文献】:
[1]王立吉,计量学基础,中国计量出版社,1988。
[2]BIPM、IEC、IFCC,IUPAC,IUPAP,OIML,Guide to the Expression of Uncertainty in Measurement, ISO,1993.
[3]刘智敏,不确定度原理,中国计量出版社,1993。
[4]刘智敏,误差分布论,原子能出版社,1988。
[5]刘智敏,误差与数据处理,原子能出版社,1983。
[6]Liu Zhimin(刘智敏),Measurement Uncertainty and Its Correlation Combination,Proceeding of ISEM, 1993.
[7]国家计量总局量值传递处编,计量技术考核纲要,计量出版社,1981。
[8]国家技术监督局审定,刘智敏等编审,全国计量检定人员考核统一试题集第六分册三,误差及数据处理,陕西科学技术出版社,1990。