网站首页  词典首页


请输入您要查询的字词:

 

字词 食品中总酸的测定方法
类别 中英文字词句释义及详细解析
释义

食品中总酸的测定方法


1.原理

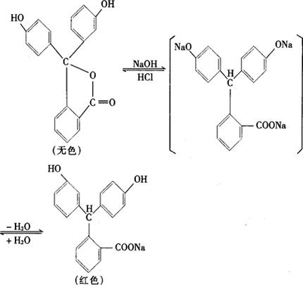
食品中的有机酸用碱液滴定时,被中和生成盐类。反应式如下:

RCOOH+NaOH→RCOONa+H2O

用酚酞作指示剂,它在pH约8.2时,就确定了游离酸中和的终点。无色的酚酞与碱作用时生成酚酞盐,同时失去1分子水,引起醌型重排而呈红色。反应式如下:

2.指示剂法

2.1 原理 根据酸碱中和原理,用碱液滴定试液中的酸,以酚酞为指示剂确定滴定终点,按碱液的消耗量计算食品中的总酸含量。

2.2 试剂和溶液 所有试剂均为分析纯;水为蒸馏水或同等纯度的水(以下简称水),使用前需经煮沸、冷却。

2.2.1 0.1mol/LNaOH标准滴定溶液:按GB601配制与标定。

2.2.2 0.01mol/L或0.05mol/LNaOH标准滴定溶液:将0.1mol/LNaOH标准滴定溶液稀释V100倍→V1000倍或V100倍→V200倍(用时当天稀释)。

2.2.3 1%酚酞指示剂溶液:1g酚酞溶于60mL95%乙醇(GB679)中,用水稀释至100mL。

2.3 仪器 试验室常用仪器:

2.3.1 组织捣碎机。

2.3.2 水浴锅。

2.3.3 研钵。

2.3.4 冷凝管。

2.4 试样的制备。

2.4.1 液体样品:不含二氧化碳的样品充分混匀。含二氧化碳的样品按下述方法排除二氧化碳:取至少200mL充分混匀的样品,置于500mL锥形瓶中,旋摇至基本无气泡,装上冷凝管,置于水浴锅中。待水沸腾后保持10min,取出,冷却。

啤酒中的二氧化碳按GB4928规定的方法排除。

2.4.2 固体样品:去除不可食部分,取有代表性的样品至少200g,置于研钵或组织捣碎机中,加入与试样等量的水,研碎或捣碎,混匀。

面包应取其中心部分,充分混匀,直接供制备试液。

2.4.3 固液体样品:按样品的固体、液体比例至少取200g,去除不可食部分,用研钵或组织捣碎机研碎或捣碎,混匀。

2.5 试液的制备 取25~50g试样(2.4),精确至0.001g,置于250mL容量瓶中,用水稀释至刻度。含固体的样品至少放置30min(摇动2~3次)。用快速滤纸或脱脂棉过滤,收集滤液于250mL锥形瓶中备用。

总酸低于0.7g/kg的液体样品,混匀后可直接取样测定。

2.6 测定方法。

2.6.1 取25.00~50.00mL试液(2.5),使之含0.035~0.070g酸,置于150mL烧杯中,加40~60mL水及0.2mL1%酚酞指示剂,用0.1mol/LNaOH标准滴定溶液(如样品酸度较低,可用0.01mol/L或0.05mol/LNaOH标准滴定液)滴定至微红色30s不褪色,记录消耗0.1mol/L NaOH标准滴定溶液的毫升数(V1)。

同一种被测样品需测定2次。

2.6.2 空白试验:用水代替试液,以下按2.6.1操作。记录消耗0.1mol/LNaOH标准滴定溶液的毫升数(V2)。

2.7 分析结果的表述 总酸以每千克(或每升)样品中酸的质量表示,按式(1-1)计算:

式中 x——样品中酸的含量,g/kg(g/L)

ρ——NaOH标准滴定溶液的浓度,mg/L

V1——滴定试液时消耗NaOH标准滴定溶液的体积,mL

V2——空白试验时消耗NaOH标准滴定溶液的体积,mL

F——试液的稀释倍数

m——试样质量,g(mL)

K——酸的换算系数。各种酸的换算系数分别为:苹果酸0.067;乙酸0.060;酒石酸0.075;柠檬酸0.070(含一分子结晶水)乳酸0.090;盐酸0.036;磷酸0.033

计算结果精确到小数点后第2位。

如两次测定结果差在允许范围内,则取两次测定结果的算术平均值报告结果。

2.8 允许差 同一样品的两次测定值之差,不得超过两次测定平均值的2%。

3.电位滴定法

3.1 原理 本法根据酸碱中和原理,用碱液滴定试液中的酸,根据电位的突跃判断滴定终点,按碱液的消耗量计算食品中的总酸含量。

3.2 试剂和溶液 所用试剂及水的要求同本标准指示剂法。

3.2.1 pH8.0缓冲溶液:按GB604“缓冲溶液的制备”配制。

3.2.2 0.1mol/LHCl标准滴定溶液:按GB601配制与标定。

3.2.3 0.1mol/LNaOH标准滴定溶液:按GB601配制与标定。

3.2.4 0.01mol/L或0.05mol/LNaOH标准滴定溶液:按指示剂法2.2.2配制。

3.2.5 0.05mol/LHCl标准滴定溶液:按GB601配制与标定。

3.3 仪器 试验室常用仪器:

3.3.1 酸度计:pH0~14,直接读数式,pH精度为±0.1。

3.3.2 玻璃电极和饱和甘汞电极。

3.3.3 电磁搅拌器。

3.3.4 组织捣碎机。

3.3.5 研钵。

3.3.6 水浴锅。

3.3.7 冷凝管。

3.4 试样的制备 按指示剂法2.4制备。

3.5 试液的制备 按指示剂法2.5制备。

3.6 测定方法。

3.6.1 果蔬制品、饮料、乳制品、酒、淀粉制品、谷物制品和调味品等:取20.00~50.00mL试液(3.5),使之含0.035~0.070g酸,置于150mL烧杯中,加40~60mL水。将酸度计电源接通,待指针稳定后,用pH8.0缓冲溶液(3.2.1)校正酸度计。将盛有试液的烧杯放到电磁搅拌器上。再将玻璃电极及甘汞电极浸入试液的适当位置。按下pH读数开关,开动搅拌器,迅速用0.1mol/LNaOH标准滴定溶液(如样品酸度较低,可用0.01mol/L或0.05mol/LNaOH标准滴定溶液)滴定,并随时观察溶液pH的变化。接近终点时,应放慢滴定速度。一次滴加半滴(最多1滴),直至溶液的pH达到指定终点。记录消耗氢氧化钠标准滴定溶液的毫升数(V1)。

同一被测样品需测定2次。

3.6.2 蜂产品:称取约10g混合均匀的试样,精确至0.001g,置于150mL烧杯中,加80mL水,以下按第3.6.1操作。用0.05mol/LNaOH标准滴定溶液以5.0mL/min的速度滴定。当pH到达8.5时停止滴加,然后一次加入10mL0.05mol/LNaOH标准滴定溶液。记录消耗0.05mol/LNaOH标准滴定溶液的总毫升数(V1)。立即用0.05mol/LHCl标准滴定溶液反滴定至pH8.2。记录消耗0.05mol/LHCl标准滴定溶液的毫升数(V3)。

同一被测样品需测定2次。

3.6.3 3.6.1和3.6.2中的操作都需用水代替试液做空白试验,记录消耗NaOH标准滴定溶液的毫升数(V2)。

各种酸滴定终点的pH:柠檬酸8.0~8.1;苹果酸8.0~8.1;酒石酸8.1~8.2;乳酸8.1~8.2;乙酸8.0~8.1;盐酸8.1~8.2;磷酸8.7~8.8。

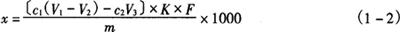
3.7 分析结果的表述 总酸以每千克(或每升)样品中酸的质量表示,按式(1-2)计算:

式中 x——样品中酸的含量,g/kg(g/L)

c1——NaOH标准滴定溶液的浓度,mol/L

c2——盐酸标准滴定溶液的浓度,mol/L

V1——滴定试液时消耗NaOH标准滴定溶液的体积,mL

V2——空白试验时消耗NaOH标准滴定溶液的体积,mL

V3——反滴定时消耗盐酸标准滴定溶液的体积,mL

F——试液的稀释倍数

m——试样质量,g(mL)

K——酸的换算系数。各种酸的换算系数同指示剂法2.7

计算结果精确到小数点后第2位。

如两次测定结果差在允许范围内,取两次测定结果的算术平均值报告结果。

3.8 允许差 同指示剂法2.8。

随便看

 

离鸟网收录3541549条中英文词条,其功能与新华字典、现代汉语词典、牛津高阶英汉词典等各类中英文词典类似,基本涵盖了全部常用中英文字词句的读音、释义及用法,是语言学习和写作的有利工具。

 

Copyright © 2004-2024 vtrois.com All Rights Reserved
更新时间:2026/4/21 15:39:55